🇳🇴 🇬🇧 🇩🇪 🇨🇿 🇫🇮

Meteor, poloha: Dals LĂĄnged 2015-11-11 01:17:23 UTC

Soubor KML  |  InteraktivnĂ­ mapa

Mapa zobrazuje dráhy meteoru. Světlejší čáry ukazují směry od pozorovacích stanic při objevení se meteoru a tmavší čáry, kde byl naposledy viděn. Modrá šipka značí viditelnou dráhu meteoru.

static map
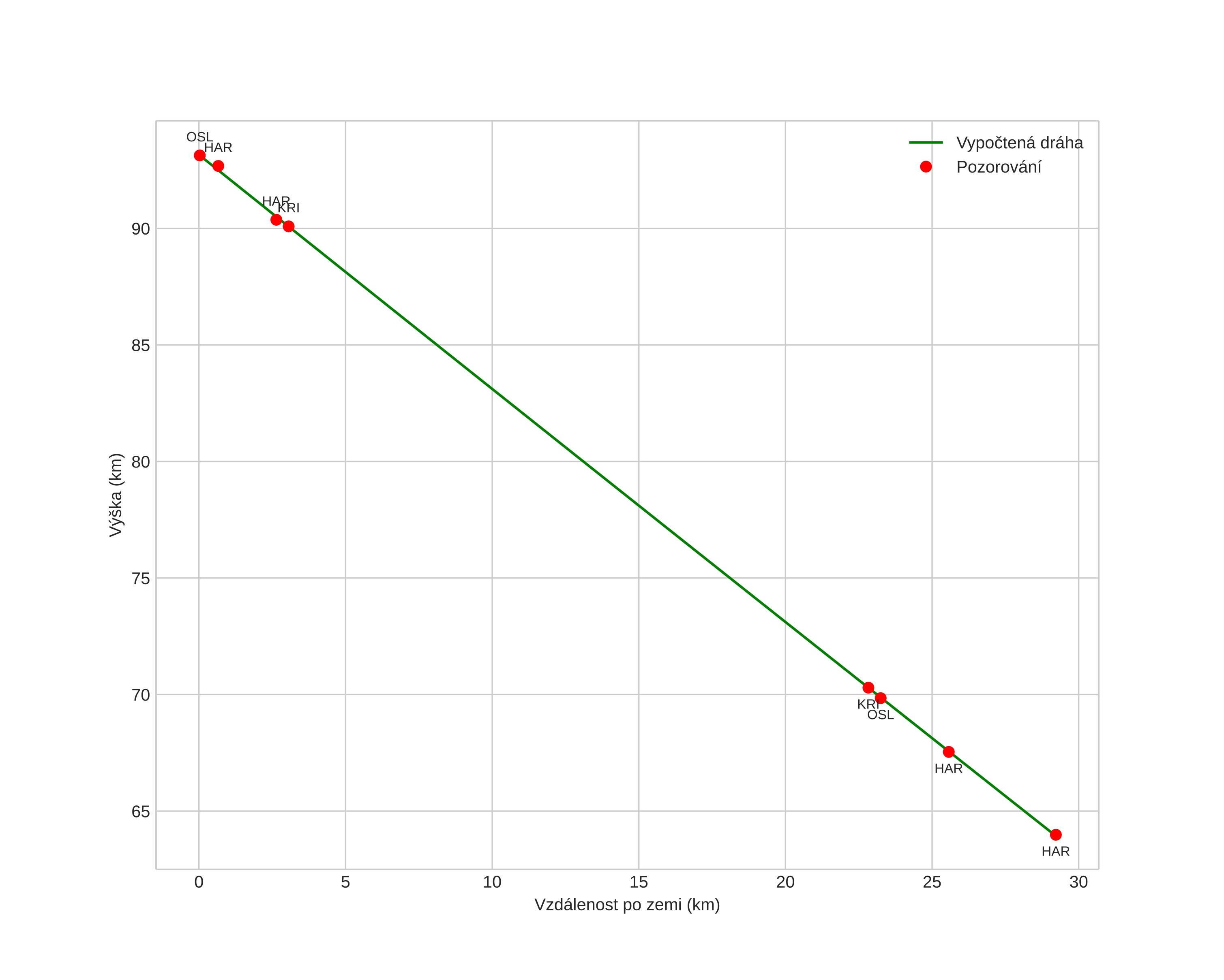
height profile
Atmosférická dráha meteoru:
Počáteční výška: 93,2 km
Konečná výška: 64,0 km
Počáteční poloha: 58,674N 12,042E
Konečná poloha: 58,893N 12,322E
Směr: 33,5°
Sklon: 45,0°
VstupnĂ­ rychlost: 28,0 km/s
Rektascenze radiantu: 03:43 (55,8°)
Deklinace radiantu: 15,2°
MeteorickĂ˝ roj: JiĹľnĂ­ Tauridy
Elementy dráhy meteoroidu:
Vzdálenost v periheliu: 0,423 AU
Excentricita: 0,790
Sklon dráhy: 4,4°
Délka vzestupného uzlu: 48,1°
Argument perihelia: 107,3°
Střední anomálie: 344,7°
Epocha: 2015 NOV 11 01:17:23
orbit plot

NeinteraktivnĂ­ graf | InteraktivnĂ­ graf

position vs time
speed and acceleration