🇳🇴 🇬🇧 🇩🇪 🇨🇿 🇫🇮

Meteor über Dals Långed 2015-11-11 01:17:23 UTC

KML-Datei  |  Interaktive Karte

Die Karte zeigt die Peilungen für den Meteor. Die helleren Linien zeigen die Richtungen von den Beobachtungsorten beim Erscheinen des Meteors, und die dunkleren Linien, wo er zuletzt gesehen wurde. Der blaue Pfeil zeigt die sichtbare Bahn des Meteors.

static map
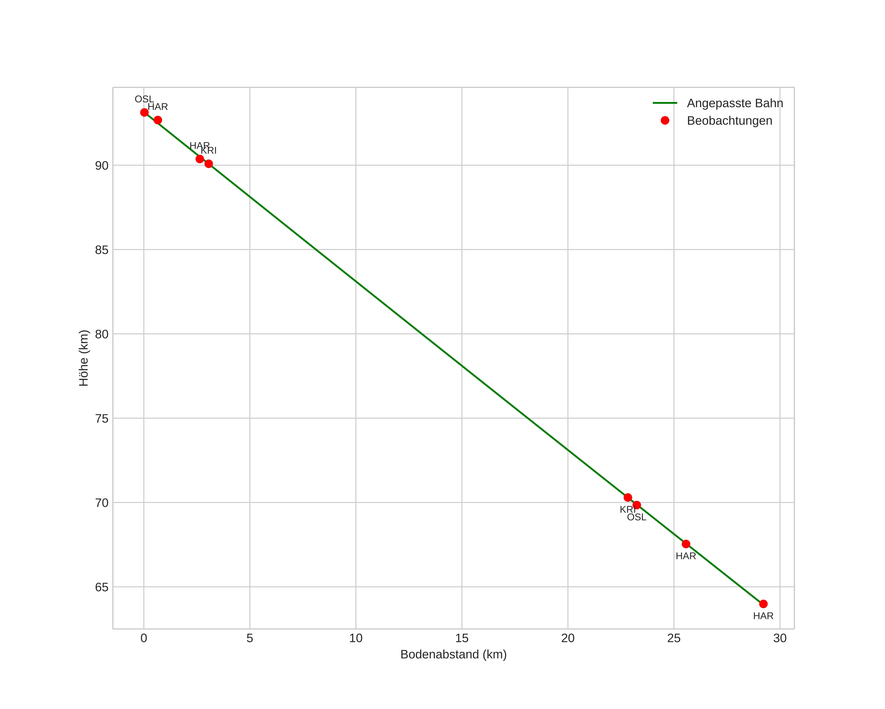
height profile
Atmosphärische Bahn des Meteors:
Anfangshöhe: 93,2 km
Endhöhe: 64,0 km
Startposition: 58,674N 12,042E
Endposition: 58,893N 12,322E
Richtung: 33,5°
Neigungswinkel: 45,0°
Eintrittsgeschwindigkeit: 28,0 km/s
Rektaszension des Radianten: 03:43 (55,8°)
Deklination des Radianten: 15,2°
Meteorstrom: Südliche Tauriden
Bahnelemente des Meteoroiden:
Periheldistanz: 0,423 AU
Exzentrizität: 0,790
Inklination: 4,4°
Länge des aufsteigenden Knotens: 48,1°
Argument des Perihels: 107,3°
Mittlere Anomalie: 344,7°
Epoche: 2015 NOV 11 01:17:23
orbit plot

Nicht-interaktives Diagramm | Interaktives Diagramm

position vs time
speed and acceleration