🇳🇴 🇬🇧 🇩🇪 🇨🇿 🇫🇮

Meteor, poloha: Hauge i Dalane 2015-11-14 19:02:16 UTC

Soubor KML  |  InteraktivnĂ­ mapa

Mapa zobrazuje dráhy meteoru. Světlejší čáry ukazují směry od pozorovacích stanic při objevení se meteoru a tmavší čáry, kde byl naposledy viděn. Modrá šipka značí viditelnou dráhu meteoru.

static map
height profile
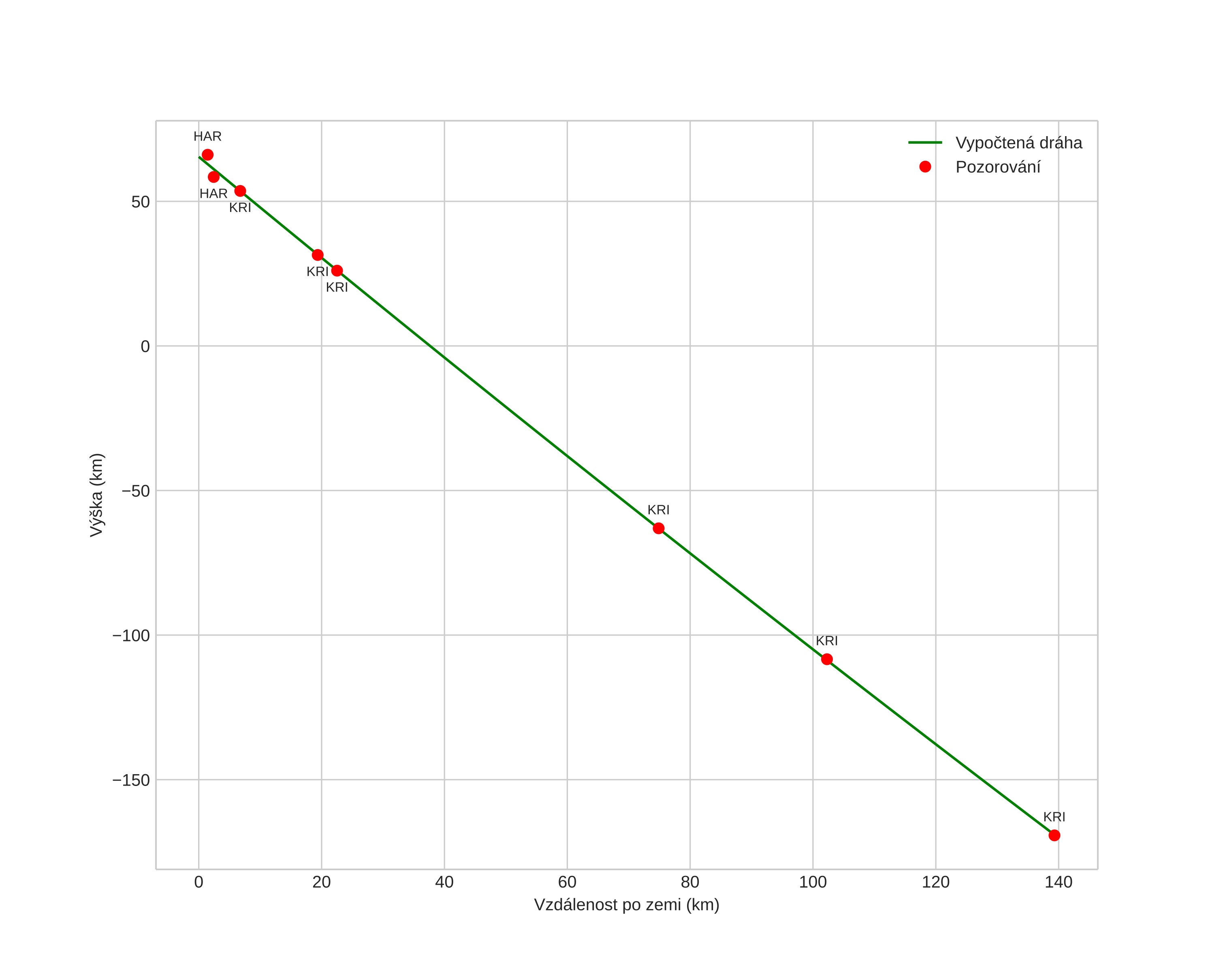
Atmosférická dráha meteoru:
Počáteční výška: 65,4 km
Konečná výška: -169,2 km
Počáteční poloha: 58,117N 8,712E
Konečná poloha: 58,115N 6,339E
Směr: 270,9°
Sklon: 59,3°
orbit plot
position vs time
speed and acceleration