🇳🇴 🇬🇧 🇩🇪 🇨🇿 🇫🇮

Meteor Hauge i Dalanen yllä 2015-11-14 19:02:16 UTC

KML-tiedosto  |  Interaktiivinen kartta

Kartta näyttää meteorin suuntahavainnot. Vaaleammat viivat näyttävät suunnat havaintoasemilta meteorin ilmestyessä, ja tummemmat viivat näyttävät, missä se viimeksi nähtiin. Sininen nuoli näyttää meteorin näkyvän lennon.

static map
height profile
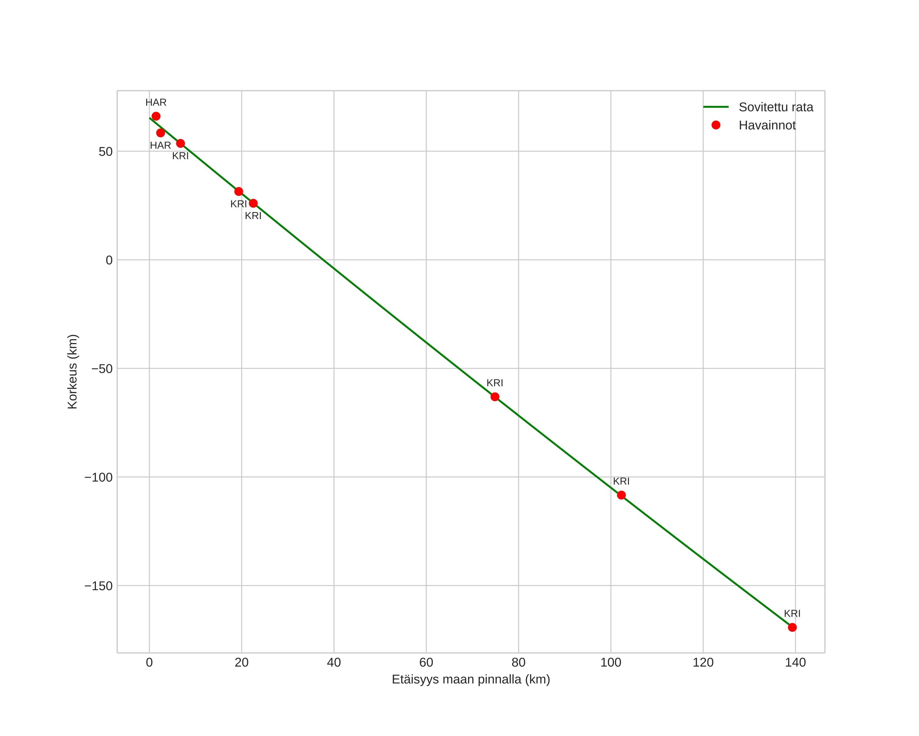
Meteorin ilmakehärata:
Alkukorkeus: 65,4 km
Loppukorkeus: -169,2 km
Alkupiste: 58,117N 8,712E
Loppupiste: 58,115N 6,339E
Suunta: 270,9°
Kallistuskulma: 59,3°
orbit plot
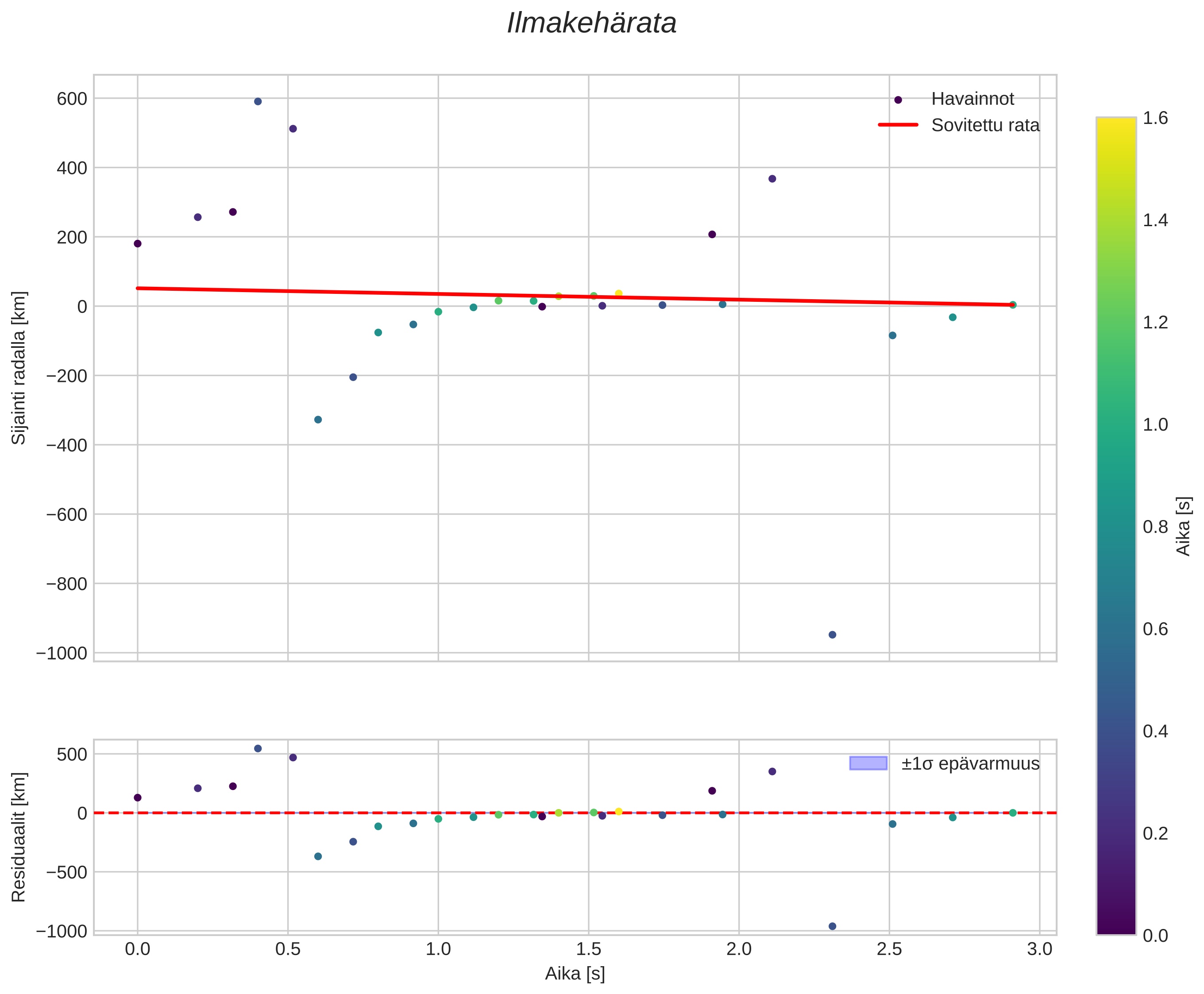
position vs time
speed and acceleration