🇳🇴 🇬🇧 🇩🇪 🇨🇿 🇫🇮

Meteor, poloha: Bruflat 2015-11-15 01:47:38 UTC

Soubor KML  |  InteraktivnĂ­ mapa

Mapa zobrazuje dráhy meteoru. Světlejší čáry ukazují směry od pozorovacích stanic při objevení se meteoru a tmavší čáry, kde byl naposledy viděn. Modrá šipka značí viditelnou dráhu meteoru.

static map
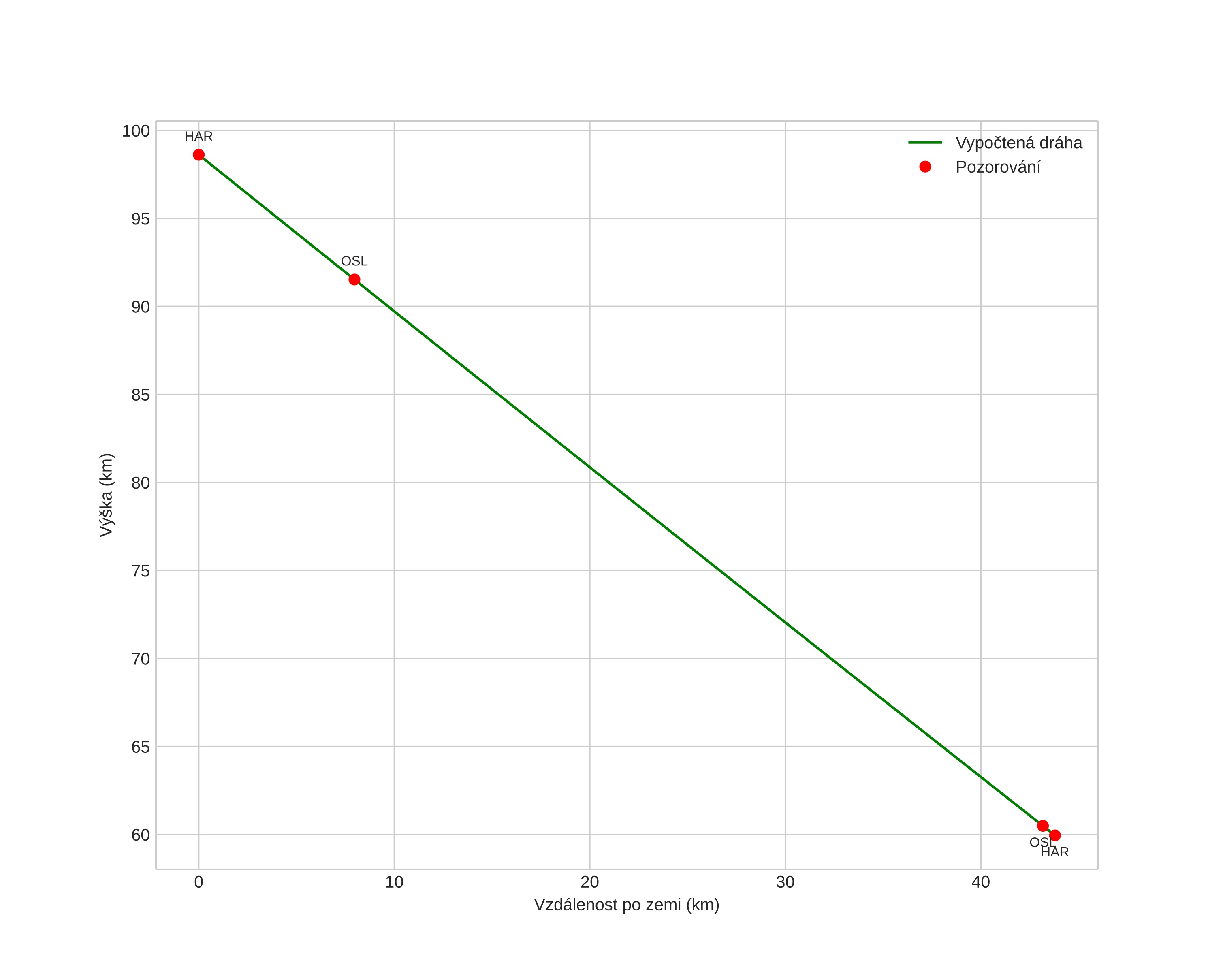
height profile
Atmosférická dráha meteoru:
Počáteční výška: 98,6 km
Konečná výška: 59,9 km
Počáteční poloha: 60,845N 9,321E
Konečná poloha: 61,157N 9,817E
Směr: 37,4°
Sklon: 41,5°
VstupnĂ­ rychlost: 28,7 km/s
Rektascenze radiantu: 04:01 (60,4°)
Deklinace radiantu: 14,6°
MeteorickĂ˝ roj: JiĹľnĂ­ Tauridy
Elementy dráhy meteoroidu:
Vzdálenost v periheliu: 0,416 AU
Excentricita: 0,806
Sklon dráhy: 6,0°
Délka vzestupného uzlu: 52,2°
Argument perihelia: 107,4°
Střední anomálie: 346,3°
Epocha: 2015 NOV 15 01:47:38
orbit plot

NeinteraktivnĂ­ graf | InteraktivnĂ­ graf

position vs time
speed and acceleration