🇳🇴 🇬🇧 🇩🇪 🇨🇿 🇫🇮

Meteor Bruflatin yllä 2015-11-15 01:47:38 UTC

KML-tiedosto  |  Interaktiivinen kartta

Kartta näyttää meteorin suuntahavainnot. Vaaleammat viivat näyttävät suunnat havaintoasemilta meteorin ilmestyessä, ja tummemmat viivat näyttävät, missä se viimeksi nähtiin. Sininen nuoli näyttää meteorin näkyvän lennon.

static map
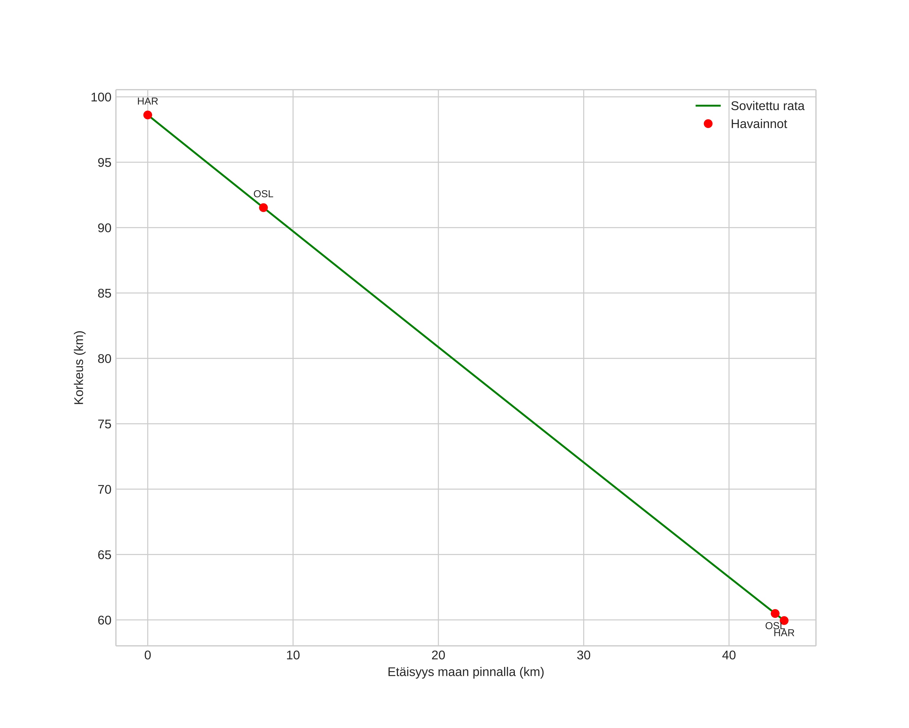
height profile
Meteorin ilmakehärata:
Alkukorkeus: 98,6 km
Loppukorkeus: 59,9 km
Alkupiste: 60,845N 9,321E
Loppupiste: 61,157N 9,817E
Suunta: 37,4°
Kallistuskulma: 41,5°
Tulonopeus: 28,7 km/s
Radiantin R,A,: 04:01 (60,4°)
Radiantin Dekl,: 14,6°
Meteoriparvi: Eteläiset tauridit
Meteoroidin rataelementit:
Perihelietäisyys: 0,416 AU
Eksentrisyys: 0,806
Inklinaatio: 6,0°
Nousevan solmun pituus: 52,2°
Perihelin argumentti: 107,4°
Keskianomalia: 346,3°
Epookki: 2015 NOV 15 01:47:38
orbit plot

Ei-interaktiivinen kuvaaja | Interaktiivinen kuvaaja

position vs time
speed and acceleration