🇳🇴 🇬🇧 🇩🇪 🇨🇿 🇫🇮

Meteor, poloha: SkĂĄlevik 2015-11-15 17:16:25 UTC

Soubor KML  |  InteraktivnĂ­ mapa

Mapa zobrazuje dráhy meteoru. Světlejší čáry ukazují směry od pozorovacích stanic při objevení se meteoru a tmavší čáry, kde byl naposledy viděn. Modrá šipka značí viditelnou dráhu meteoru.

static map
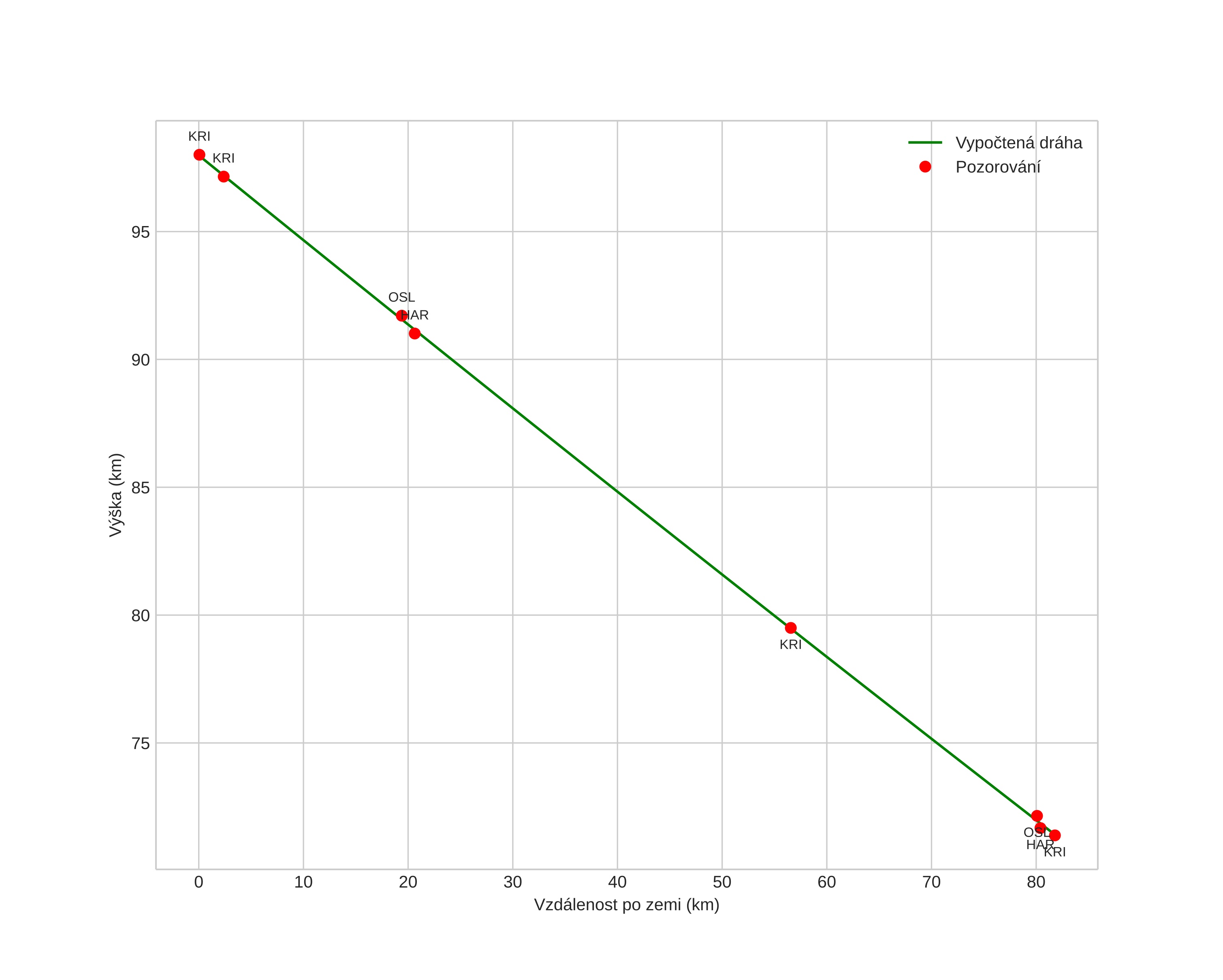
height profile
Atmosférická dráha meteoru:
Počáteční výška: 98,0 km
Konečná výška: 71,4 km
Počáteční poloha: 58,158N 9,536E
Konečná poloha: 57,903N 8,233E
Směr: 250,3°
Sklon: 18,0°
VstupnĂ­ rychlost: 32,2 km/s
Rektascenze radiantu: 04:05 (61,4°)
Deklinace radiantu: 23,5°
MeteorickĂ˝ roj: SevernĂ­ Tauridy
Elementy dráhy meteoroidu:
Vzdálenost v periheliu: 0,349 AU
Excentricita: 0,876
Sklon dráhy: 3,2°
Délka vzestupného uzlu: 232,8°
Argument perihelia: 292,7°
Střední anomálie: 351,5°
Epocha: 2015 NOV 15 17:16:25
orbit plot

NeinteraktivnĂ­ graf | InteraktivnĂ­ graf

position vs time
speed and acceleration