🇳🇴 🇬🇧 🇩🇪 🇨🇿 🇫🇮

Meteor Skålevikin yllä 2015-11-15 17:16:25 UTC

KML-tiedosto  |  Interaktiivinen kartta

Kartta näyttää meteorin suuntahavainnot. Vaaleammat viivat näyttävät suunnat havaintoasemilta meteorin ilmestyessä, ja tummemmat viivat näyttävät, missä se viimeksi nähtiin. Sininen nuoli näyttää meteorin näkyvän lennon.

static map
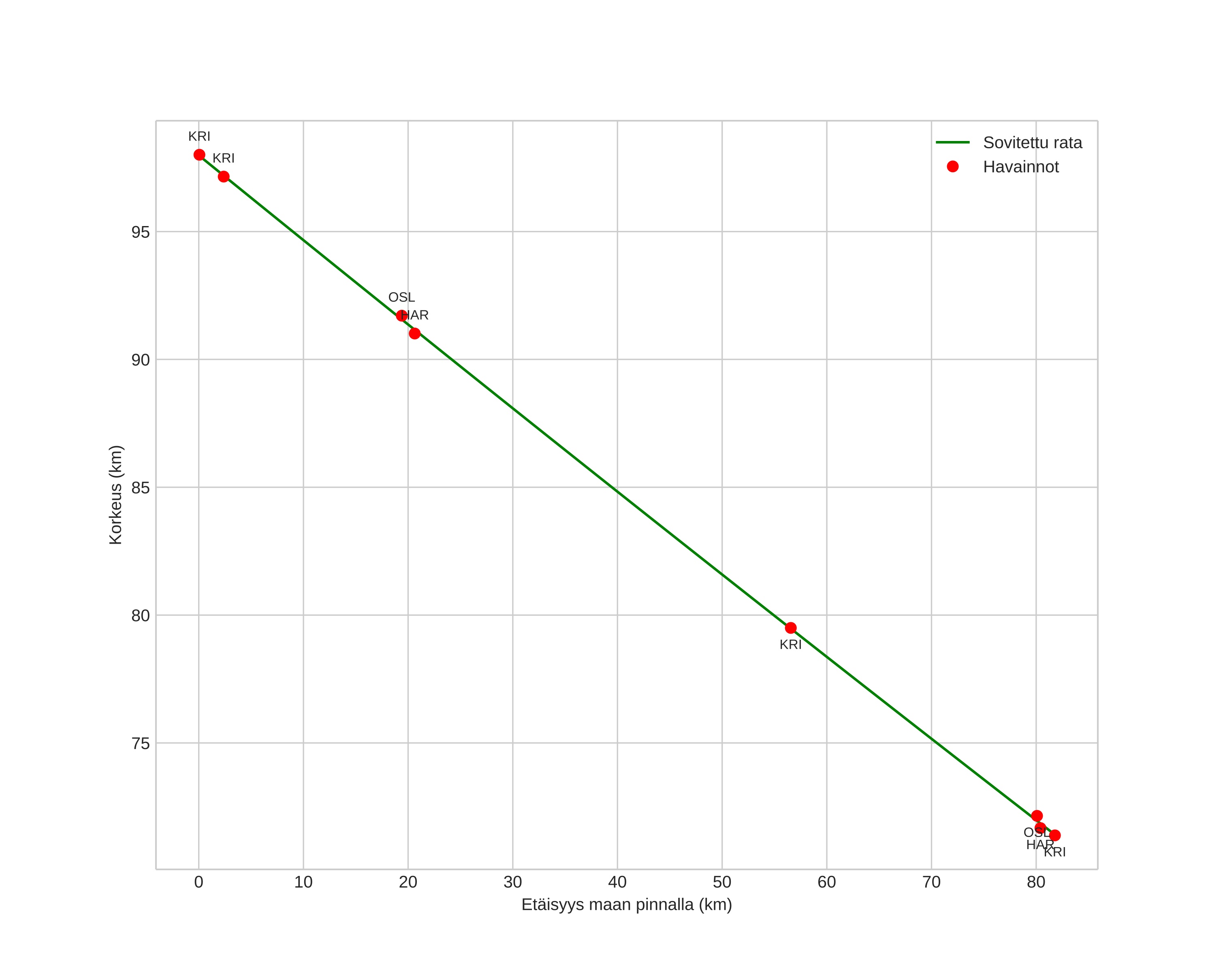
height profile
Meteorin ilmakehärata:
Alkukorkeus: 98,0 km
Loppukorkeus: 71,4 km
Alkupiste: 58,158N 9,536E
Loppupiste: 57,903N 8,233E
Suunta: 250,3°
Kallistuskulma: 18,0°
Tulonopeus: 32,2 km/s
Radiantin R,A,: 04:05 (61,4°)
Radiantin Dekl,: 23,5°
Meteoriparvi: Pohjoiset tauridit
Meteoroidin rataelementit:
Perihelietäisyys: 0,349 AU
Eksentrisyys: 0,876
Inklinaatio: 3,2°
Nousevan solmun pituus: 232,8°
Perihelin argumentti: 292,7°
Keskianomalia: 351,5°
Epookki: 2015 NOV 15 17:16:25
orbit plot

Ei-interaktiivinen kuvaaja | Interaktiivinen kuvaaja

position vs time
speed and acceleration