🇳🇴 🇬🇧 🇩🇪 🇨🇿 🇫🇮

Meteor, poloha: Voss 2015-11-15 22:17:00 UTC

Soubor KML  |  InteraktivnĂ­ mapa

Mapa zobrazuje dráhy meteoru. Světlejší čáry ukazují směry od pozorovacích stanic při objevení se meteoru a tmavší čáry, kde byl naposledy viděn. Modrá šipka značí viditelnou dráhu meteoru.

static map
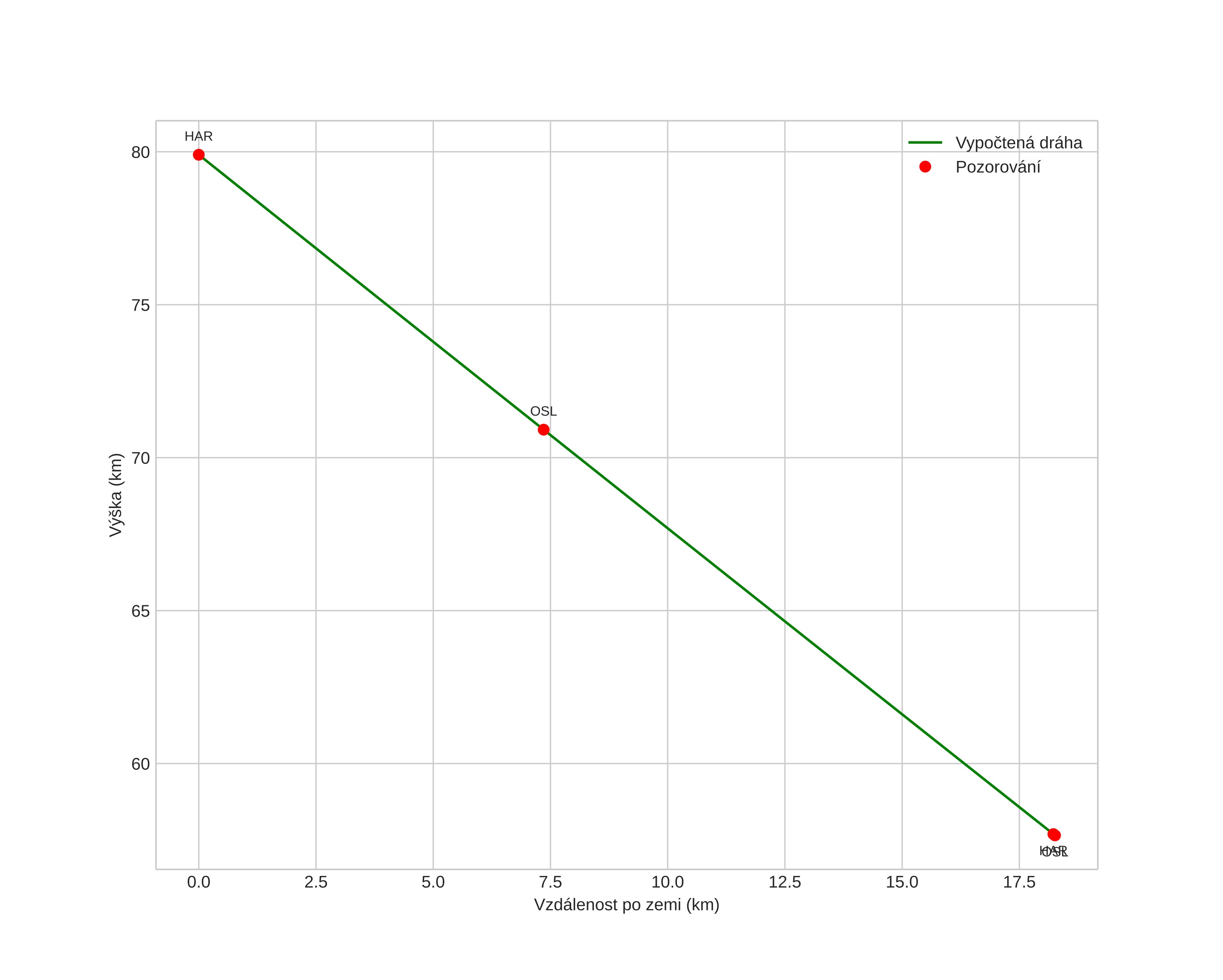
height profile
Atmosférická dráha meteoru:
Počáteční výška: 79,9 km
Konečná výška: 57,7 km
Počáteční poloha: 60,458N 6,477E
Konečná poloha: 60,590N 6,279E
Směr: 323,8°
Sklon: 50,6°
VstupnĂ­ rychlost: 29,6 km/s
Rektascenze radiantu: 03:58 (59,6°)
Deklinace radiantu: 23,3°
MeteorickĂ˝ roj: SevernĂ­ Tauridy
Elementy dráhy meteoroidu:
Vzdálenost v periheliu: 0,401 AU
Excentricita: 0,827
Sklon dráhy: 2,9°
Délka vzestupného uzlu: 233,0°
Argument perihelia: 288,3°
Střední anomálie: 348,0°
Epocha: 2015 NOV 15 22:17:00
orbit plot

NeinteraktivnĂ­ graf | InteraktivnĂ­ graf

position vs time
speed and acceleration