🇳🇴 🇬🇧 🇩🇪 🇨🇿 🇫🇮

Meteor Vossin yllä 2015-11-15 22:17:00 UTC

KML-tiedosto  |  Interaktiivinen kartta

Kartta näyttää meteorin suuntahavainnot. Vaaleammat viivat näyttävät suunnat havaintoasemilta meteorin ilmestyessä, ja tummemmat viivat näyttävät, missä se viimeksi nähtiin. Sininen nuoli näyttää meteorin näkyvän lennon.

static map
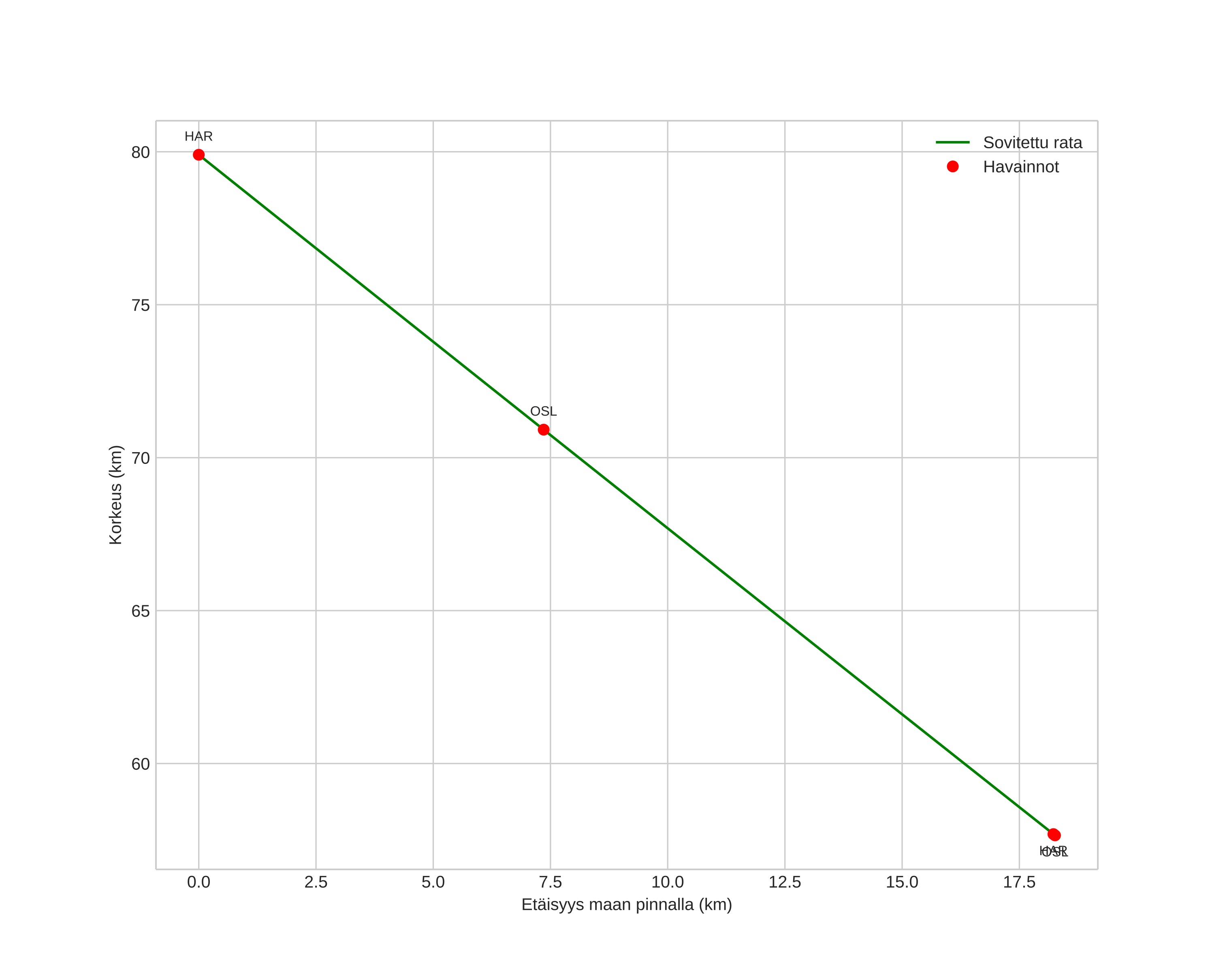
height profile
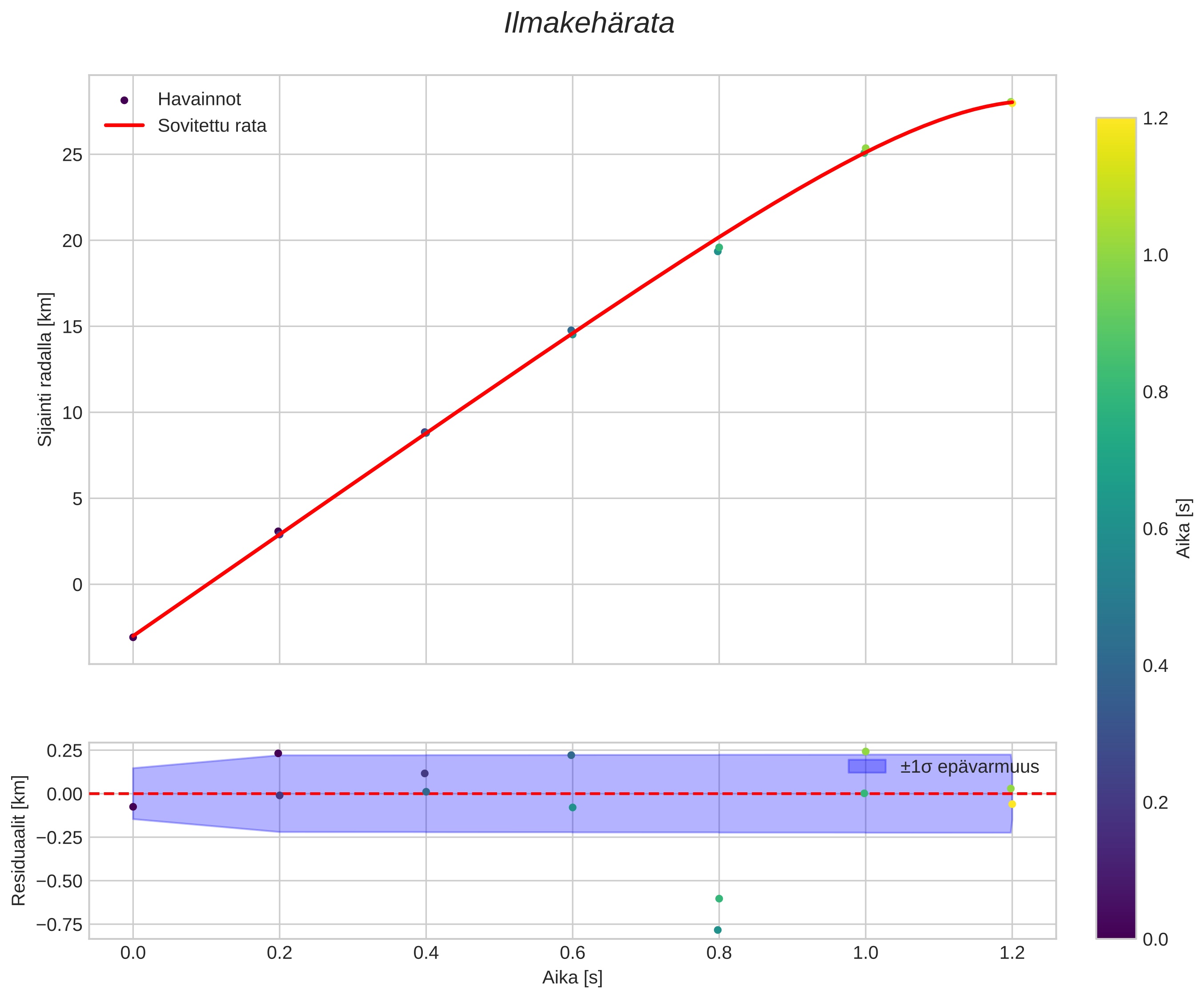
Meteorin ilmakehärata:
Alkukorkeus: 79,9 km
Loppukorkeus: 57,7 km
Alkupiste: 60,458N 6,477E
Loppupiste: 60,590N 6,279E
Suunta: 323,8°
Kallistuskulma: 50,6°
Tulonopeus: 29,6 km/s
Radiantin R,A,: 03:58 (59,6°)
Radiantin Dekl,: 23,3°
Meteoriparvi: Pohjoiset tauridit
Meteoroidin rataelementit:
Perihelietäisyys: 0,401 AU
Eksentrisyys: 0,827
Inklinaatio: 2,9°
Nousevan solmun pituus: 233,0°
Perihelin argumentti: 288,3°
Keskianomalia: 348,0°
Epookki: 2015 NOV 15 22:17:00
orbit plot

Ei-interaktiivinen kuvaaja | Interaktiivinen kuvaaja

position vs time
speed and acceleration