🇳🇴 🇬🇧 🇩🇪 🇨🇿 🇫🇮

Meteor, poloha: Nesbyen 2015-11-16 00:33:06 UTC

Soubor KML  |  InteraktivnĂ­ mapa

Mapa zobrazuje dráhy meteoru. Světlejší čáry ukazují směry od pozorovacích stanic při objevení se meteoru a tmavší čáry, kde byl naposledy viděn. Modrá šipka značí viditelnou dráhu meteoru.

static map
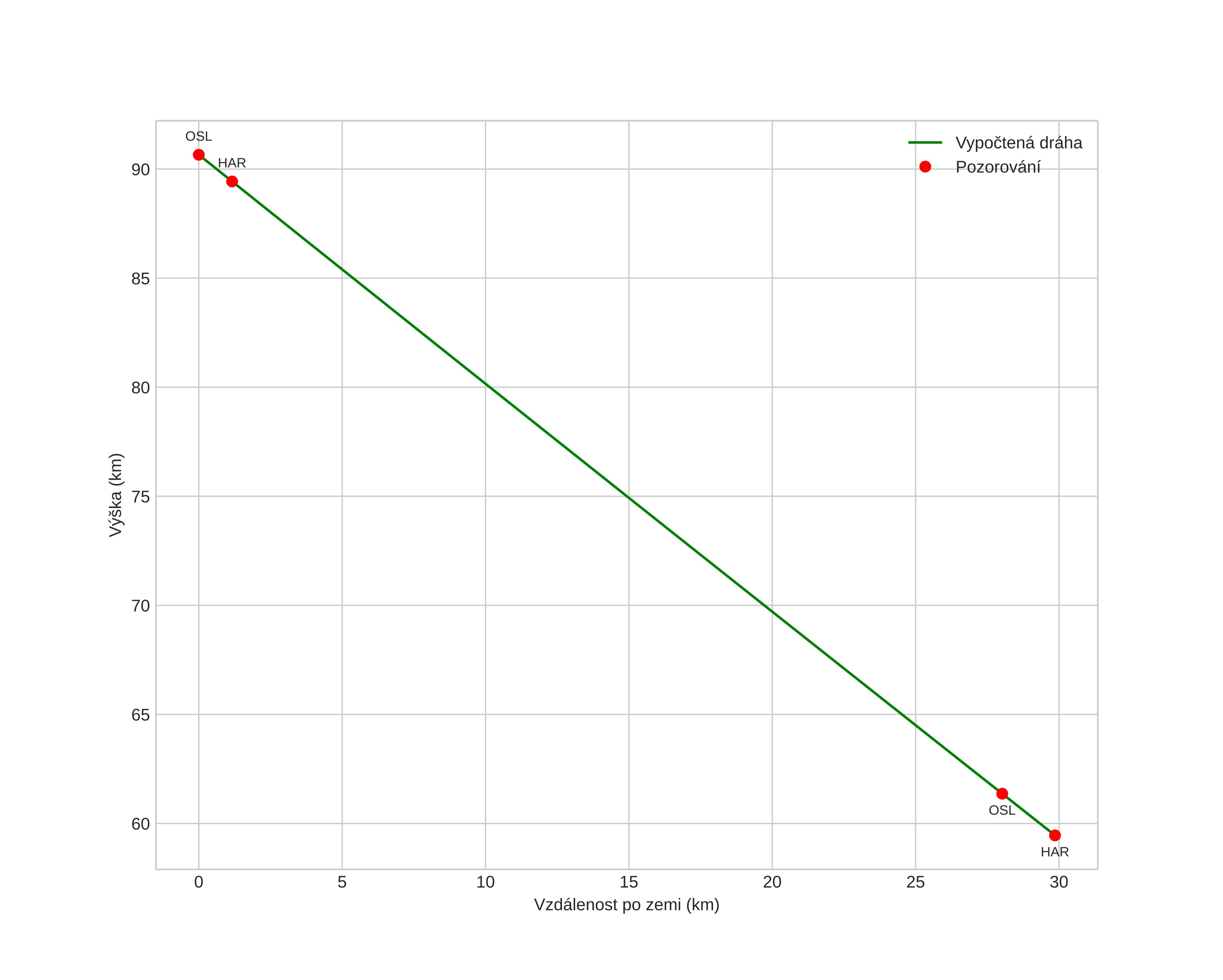
height profile
Atmosférická dráha meteoru:
Počáteční výška: 90,7 km
Konečná výška: 59,5 km
Počáteční poloha: 60,177N 8,892E
Konečná poloha: 60,438N 9,019E
Směr: 13,4°
Sklon: 46,3°
VstupnĂ­ rychlost: 30,1 km/s
Rektascenze radiantu: 04:05 (61,3°)
Deklinace radiantu: 15,2°
MeteorickĂ˝ roj: JiĹľnĂ­ Tauridy
Elementy dráhy meteoroidu:
Vzdálenost v periheliu: 0,399 AU
Excentricita: 0,844
Sklon dráhy: 6,0°
Délka vzestupného uzlu: 53,1°
Argument perihelia: 107,7°
Střední anomálie: 349,8°
Epocha: 2015 NOV 16 00:33:06
orbit plot

NeinteraktivnĂ­ graf | InteraktivnĂ­ graf

position vs time
speed and acceleration