🇳🇴 🇬🇧 🇩🇪 🇨🇿 🇫🇮

Meteor Nesbyenin yllä 2015-11-16 00:33:06 UTC

KML-tiedosto  |  Interaktiivinen kartta

Kartta näyttää meteorin suuntahavainnot. Vaaleammat viivat näyttävät suunnat havaintoasemilta meteorin ilmestyessä, ja tummemmat viivat näyttävät, missä se viimeksi nähtiin. Sininen nuoli näyttää meteorin näkyvän lennon.

static map
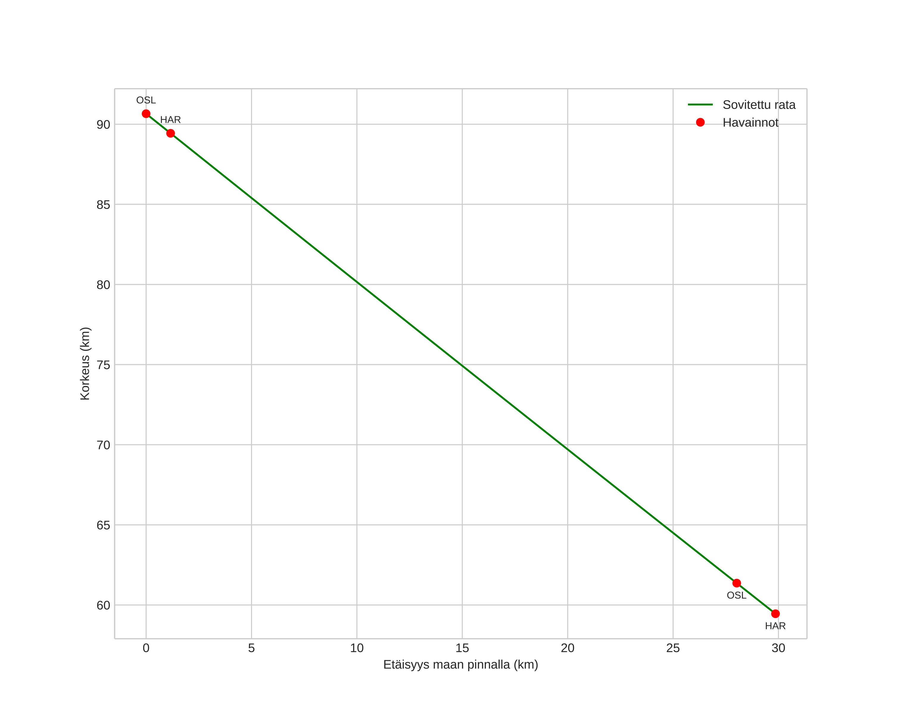
height profile
Meteorin ilmakehärata:
Alkukorkeus: 90,7 km
Loppukorkeus: 59,5 km
Alkupiste: 60,177N 8,892E
Loppupiste: 60,438N 9,019E
Suunta: 13,4°
Kallistuskulma: 46,3°
Tulonopeus: 30,1 km/s
Radiantin R,A,: 04:05 (61,3°)
Radiantin Dekl,: 15,2°
Meteoriparvi: Eteläiset tauridit
Meteoroidin rataelementit:
Perihelietäisyys: 0,399 AU
Eksentrisyys: 0,844
Inklinaatio: 6,0°
Nousevan solmun pituus: 53,1°
Perihelin argumentti: 107,7°
Keskianomalia: 349,8°
Epookki: 2015 NOV 16 00:33:06
orbit plot

Ei-interaktiivinen kuvaaja | Interaktiivinen kuvaaja

position vs time
speed and acceleration