🇳🇴 🇬🇧 🇩🇪 🇨🇿 🇫🇮

Meteor, poloha: Vestbygd 2015-11-16 22:26:33 UTC

Soubor KML  |  InteraktivnĂ­ mapa

Mapa zobrazuje dráhy meteoru. Světlejší čáry ukazují směry od pozorovacích stanic při objevení se meteoru a tmavší čáry, kde byl naposledy viděn. Modrá šipka značí viditelnou dráhu meteoru.

static map
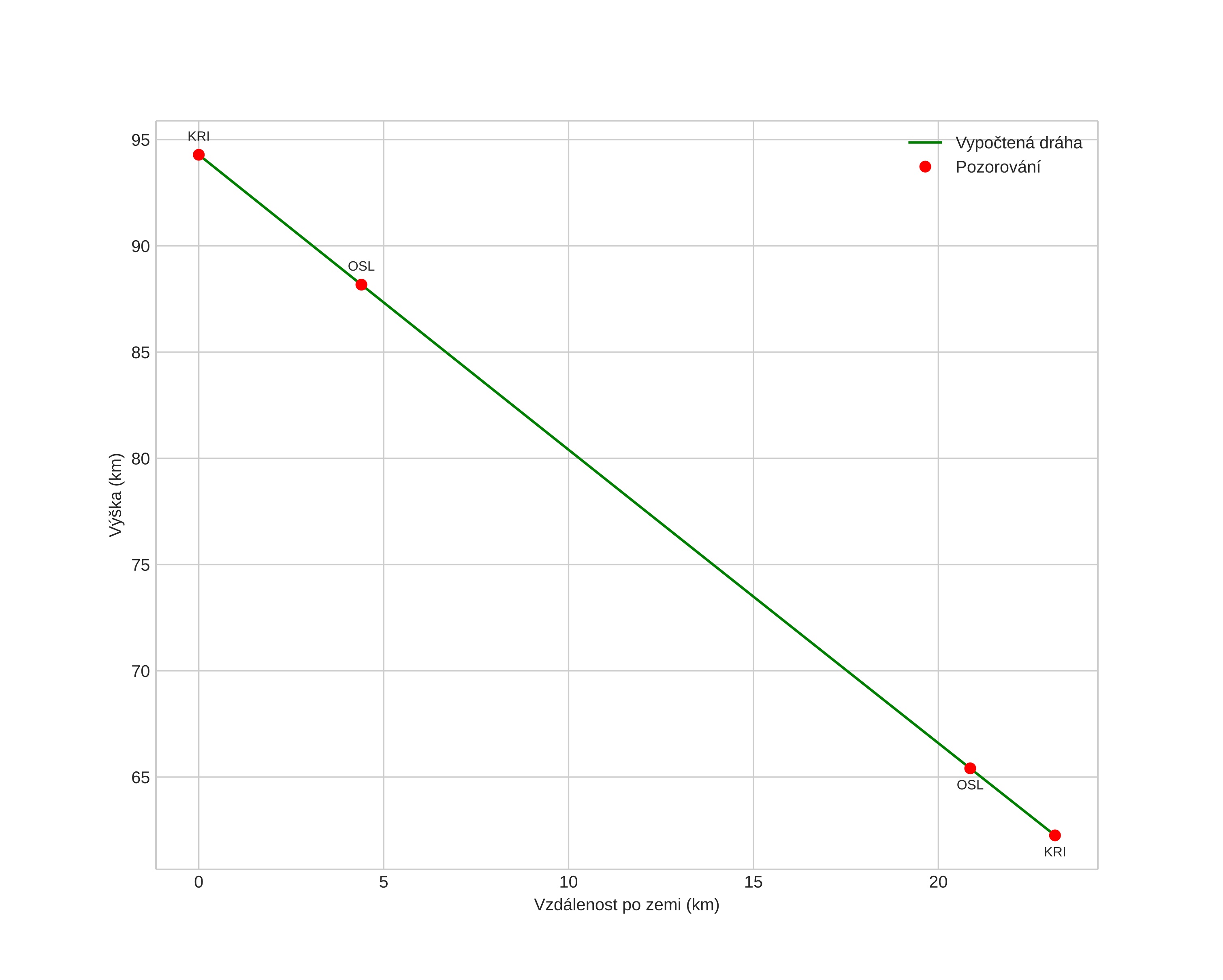
height profile
Atmosférická dráha meteoru:
Počáteční výška: 94,3 km
Konečná výška: 62,3 km
Počáteční poloha: 57,728N 6,639E
Konečná poloha: 57,893N 6,401E
Směr: 322,5°
Sklon: 54,1°
VstupnĂ­ rychlost: 29,1 km/s
Rektascenze radiantu: 04:08 (62,0°)
Deklinace radiantu: 24,5°
MeteorickĂ˝ roj: SevernĂ­ Tauridy
Elementy dráhy meteoroidu:
Vzdálenost v periheliu: 0,389 AU
Excentricita: 0,805
Sklon dráhy: 3,7°
Délka vzestupného uzlu: 234,0°
Argument perihelia: 291,2°
Střední anomálie: 344,8°
Epocha: 2015 NOV 16 22:26:33
orbit plot

NeinteraktivnĂ­ graf | InteraktivnĂ­ graf

position vs time
speed and acceleration