🇳🇴 🇬🇧 🇩🇪 🇨🇿 🇫🇮

Meteor Vestbygdin yllä 2015-11-16 22:26:33 UTC

KML-tiedosto  |  Interaktiivinen kartta

Kartta näyttää meteorin suuntahavainnot. Vaaleammat viivat näyttävät suunnat havaintoasemilta meteorin ilmestyessä, ja tummemmat viivat näyttävät, missä se viimeksi nähtiin. Sininen nuoli näyttää meteorin näkyvän lennon.

static map
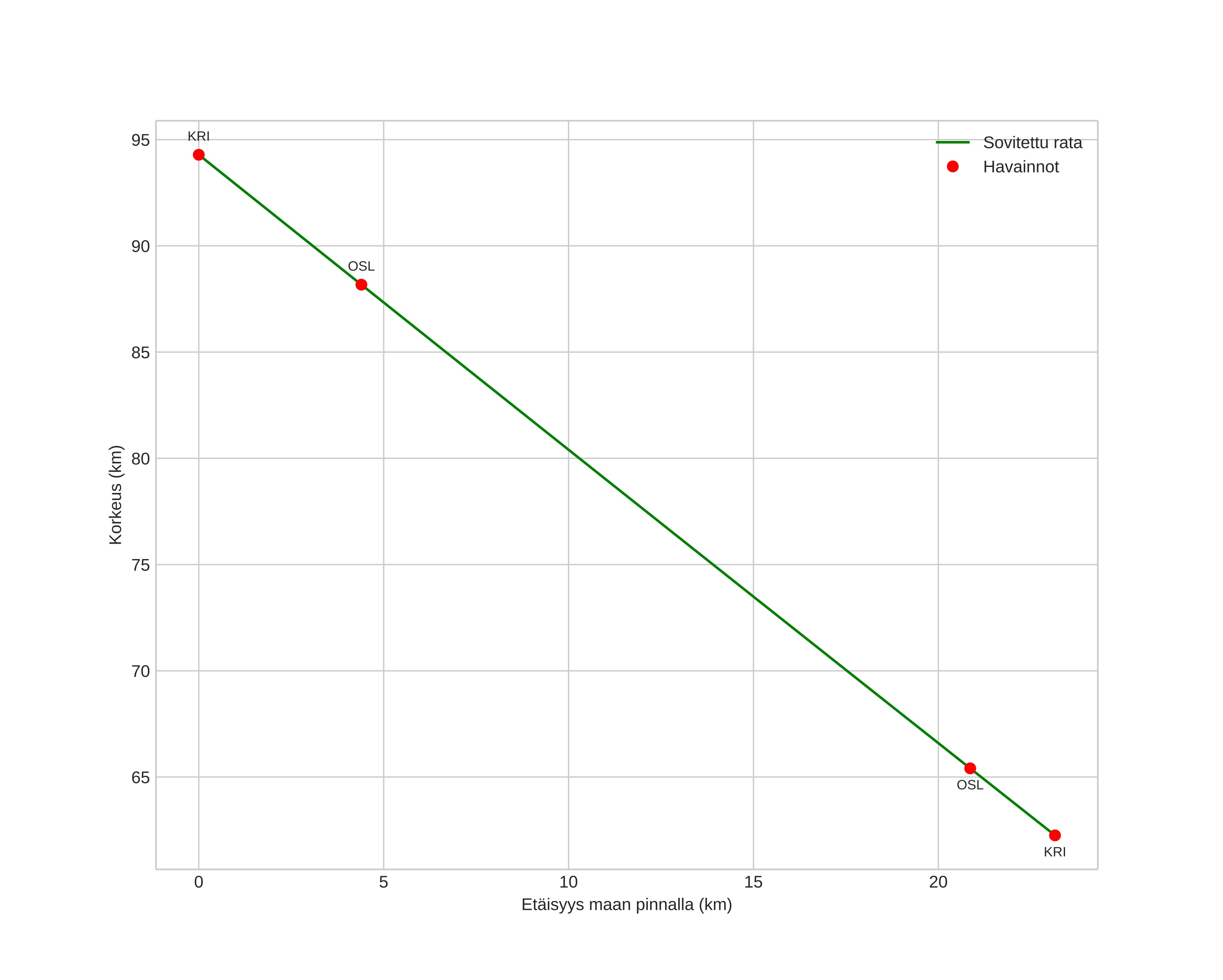
height profile
Meteorin ilmakehärata:
Alkukorkeus: 94,3 km
Loppukorkeus: 62,3 km
Alkupiste: 57,728N 6,639E
Loppupiste: 57,893N 6,401E
Suunta: 322,5°
Kallistuskulma: 54,1°
Tulonopeus: 29,1 km/s
Radiantin R,A,: 04:08 (62,0°)
Radiantin Dekl,: 24,5°
Meteoriparvi: Pohjoiset tauridit
Meteoroidin rataelementit:
Perihelietäisyys: 0,389 AU
Eksentrisyys: 0,805
Inklinaatio: 3,7°
Nousevan solmun pituus: 234,0°
Perihelin argumentti: 291,2°
Keskianomalia: 344,8°
Epookki: 2015 NOV 16 22:26:33
orbit plot

Ei-interaktiivinen kuvaaja | Interaktiivinen kuvaaja

position vs time
speed and acceleration