🇳🇴 🇬🇧 🇩🇪 🇨🇿 🇫🇮

Meteor über Vålberg 2015-11-20 03:42:33 UTC

KML-Datei  |  Interaktive Karte

Die Karte zeigt die Peilungen für den Meteor. Die helleren Linien zeigen die Richtungen von den Beobachtungsorten beim Erscheinen des Meteors, und die dunkleren Linien, wo er zuletzt gesehen wurde. Der blaue Pfeil zeigt die sichtbare Bahn des Meteors.

static map
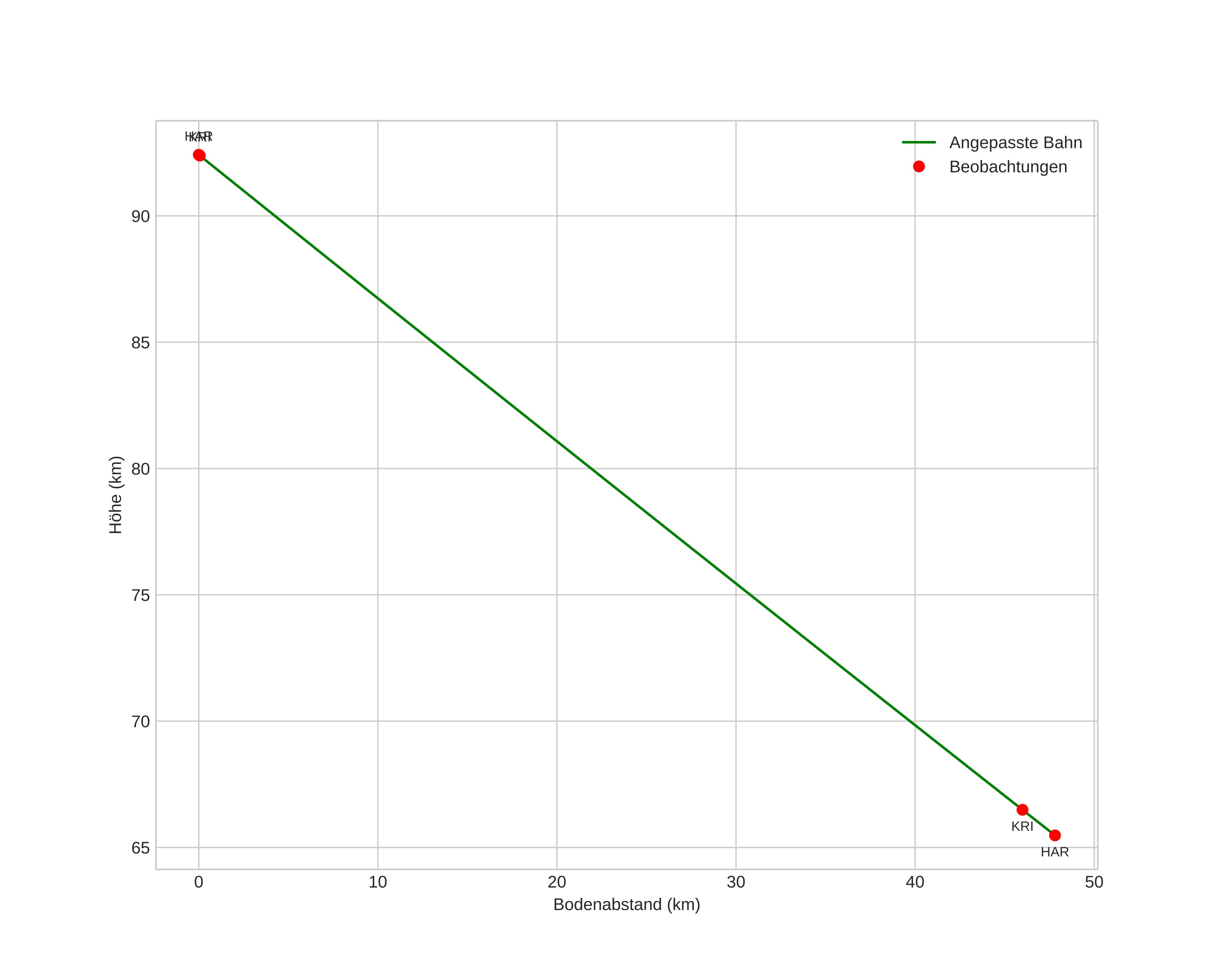
height profile
Atmosphärische Bahn des Meteors:
Anfangshöhe: 92,4 km
Endhöhe: 65,5 km
Startposition: 59,310N 12,360E
Endposition: 59,422N 13,175E
Richtung: 74,5°
Neigungswinkel: 29,4°
Eintrittsgeschwindigkeit: 27,6 km/s
Rektaszension des Radianten: 04:12 (63,0°)
Deklination des Radianten: 14,9°
Meteorstrom: Südliche Tauriden
Bahnelemente des Meteoroiden:
Periheldistanz: 0,460 AU
Exzentrizität: 0,795
Inklination: 5,7°
Länge des aufsteigenden Knotens: 57,3°
Argument des Perihels: 101,9°
Mittlere Anomalie: 347,1°
Epoche: 2015 NOV 20 03:42:33
orbit plot

Nicht-interaktives Diagramm | Interaktives Diagramm

position vs time
speed and acceleration