🇳🇴 🇬🇧 🇩🇪 🇨🇿 🇫🇮

Meteor Vålbergin yllä 2015-11-20 03:42:33 UTC

KML-tiedosto  |  Interaktiivinen kartta

Kartta näyttää meteorin suuntahavainnot. Vaaleammat viivat näyttävät suunnat havaintoasemilta meteorin ilmestyessä, ja tummemmat viivat näyttävät, missä se viimeksi nähtiin. Sininen nuoli näyttää meteorin näkyvän lennon.

static map
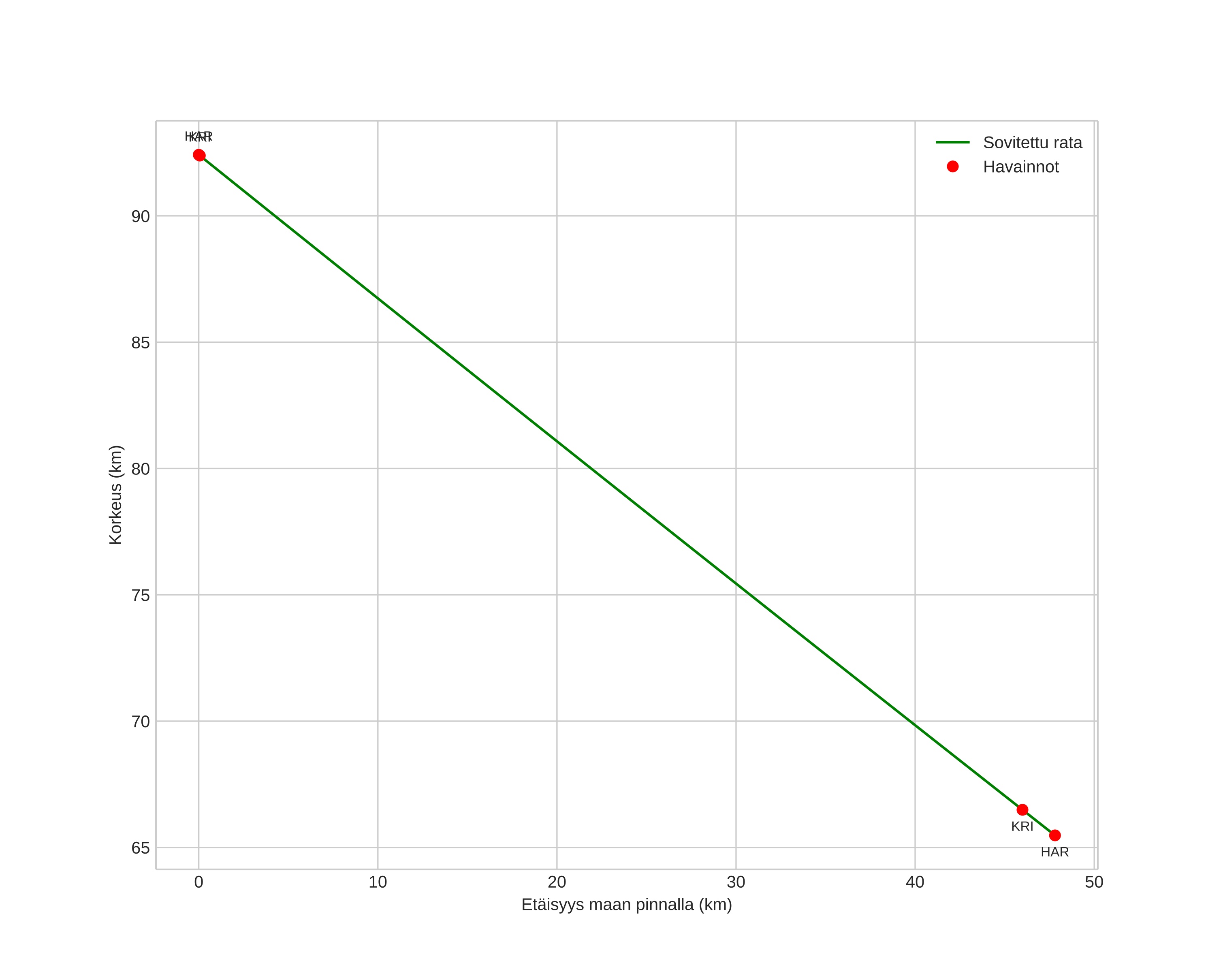
height profile
Meteorin ilmakehärata:
Alkukorkeus: 92,4 km
Loppukorkeus: 65,5 km
Alkupiste: 59,310N 12,360E
Loppupiste: 59,422N 13,175E
Suunta: 74,5°
Kallistuskulma: 29,4°
Tulonopeus: 27,6 km/s
Radiantin R,A,: 04:12 (63,0°)
Radiantin Dekl,: 14,9°
Meteoriparvi: Eteläiset tauridit
Meteoroidin rataelementit:
Perihelietäisyys: 0,460 AU
Eksentrisyys: 0,795
Inklinaatio: 5,7°
Nousevan solmun pituus: 57,3°
Perihelin argumentti: 101,9°
Keskianomalia: 347,1°
Epookki: 2015 NOV 20 03:42:33
orbit plot

Ei-interaktiivinen kuvaaja | Interaktiivinen kuvaaja

position vs time
speed and acceleration