🇳🇴 🇬🇧 🇩🇪 🇨🇿 🇫🇮

Meteor, poloha: Treungen 2015-11-21 21:27:33 UTC

Soubor KML  |  InteraktivnĂ­ mapa

Mapa zobrazuje dráhy meteoru. Světlejší čáry ukazují směry od pozorovacích stanic při objevení se meteoru a tmavší čáry, kde byl naposledy viděn. Modrá šipka značí viditelnou dráhu meteoru.

static map
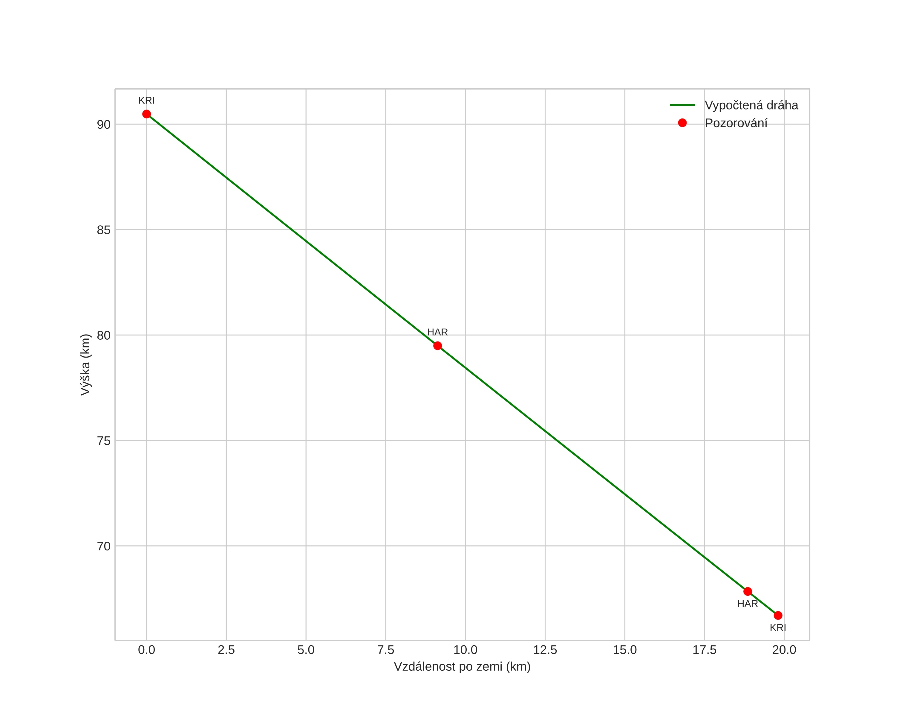
height profile
Atmosférická dráha meteoru:
Počáteční výška: 90,5 km
Konečná výška: 66,7 km
Počáteční poloha: 58,827N 8,736E
Konečná poloha: 58,936N 8,462E
Směr: 307,6°
Sklon: 50,2°
VstupnĂ­ rychlost: 47,1 km/s
Rektascenze radiantu: 04:22 (65,5°)
Deklinace radiantu: 26,5°
MeteorickĂ˝ roj: sporadickĂ˝
Elementy dráhy meteoroidu:
Vzdálenost v periheliu: 0,266 AU
Excentricita: 1,237
Sklon dráhy: 9,7°
Délka vzestupného uzlu: 239,0°
Argument perihelia: 288,8°
Střední anomálie: -25,0°
Epocha: 2015 NOV 21 21:27:33
orbit plot

NeinteraktivnĂ­ graf | InteraktivnĂ­ graf

position vs time
speed and acceleration