🇳🇴 🇬🇧 🇩🇪 🇨🇿 🇫🇮

Meteor Treungenin yllä 2015-11-21 21:27:33 UTC

KML-tiedosto  |  Interaktiivinen kartta

Kartta näyttää meteorin suuntahavainnot. Vaaleammat viivat näyttävät suunnat havaintoasemilta meteorin ilmestyessä, ja tummemmat viivat näyttävät, missä se viimeksi nähtiin. Sininen nuoli näyttää meteorin näkyvän lennon.

static map
height profile
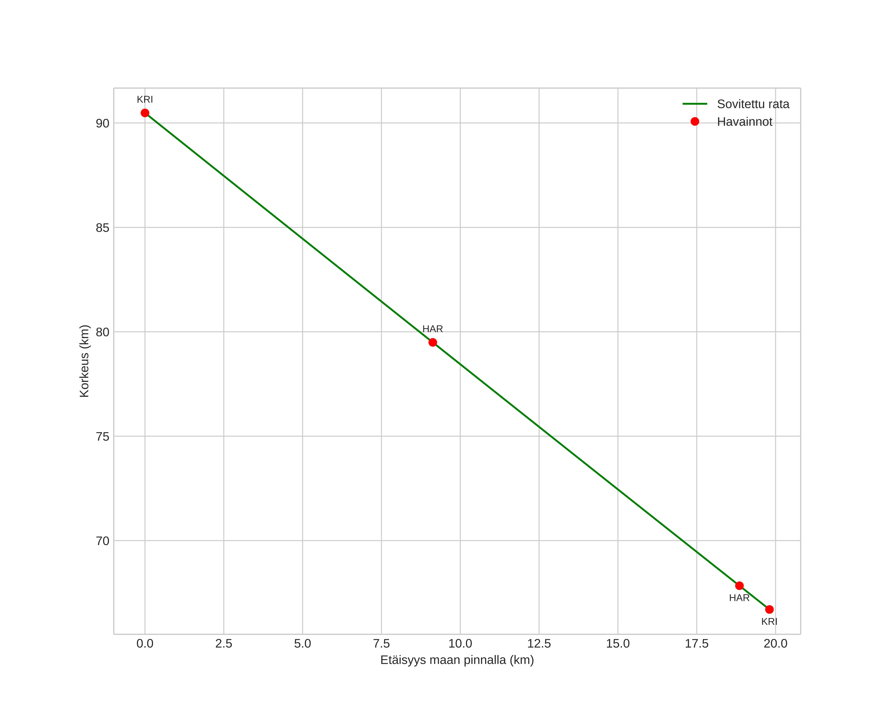
Meteorin ilmakehärata:
Alkukorkeus: 90,5 km
Loppukorkeus: 66,7 km
Alkupiste: 58,827N 8,736E
Loppupiste: 58,936N 8,462E
Suunta: 307,6°
Kallistuskulma: 50,2°
Tulonopeus: 47,1 km/s
Radiantin R,A,: 04:22 (65,5°)
Radiantin Dekl,: 26,5°
Meteoriparvi: Sporadinen
Meteoroidin rataelementit:
Perihelietäisyys: 0,266 AU
Eksentrisyys: 1,237
Inklinaatio: 9,7°
Nousevan solmun pituus: 239,0°
Perihelin argumentti: 288,8°
Keskianomalia: -25,0°
Epookki: 2015 NOV 21 21:27:33
orbit plot

Ei-interaktiivinen kuvaaja | Interaktiivinen kuvaaja

position vs time
speed and acceleration