🇳🇴 🇬🇧 🇩🇪 🇨🇿 🇫🇮

Meteor, poloha: Jørpeland 2015-11-22 01:08:54 UTC

Soubor KML  |  InteraktivnĂ­ mapa

Mapa zobrazuje dráhy meteoru. Světlejší čáry ukazují směry od pozorovacích stanic při objevení se meteoru a tmavší čáry, kde byl naposledy viděn. Modrá šipka značí viditelnou dráhu meteoru.

static map
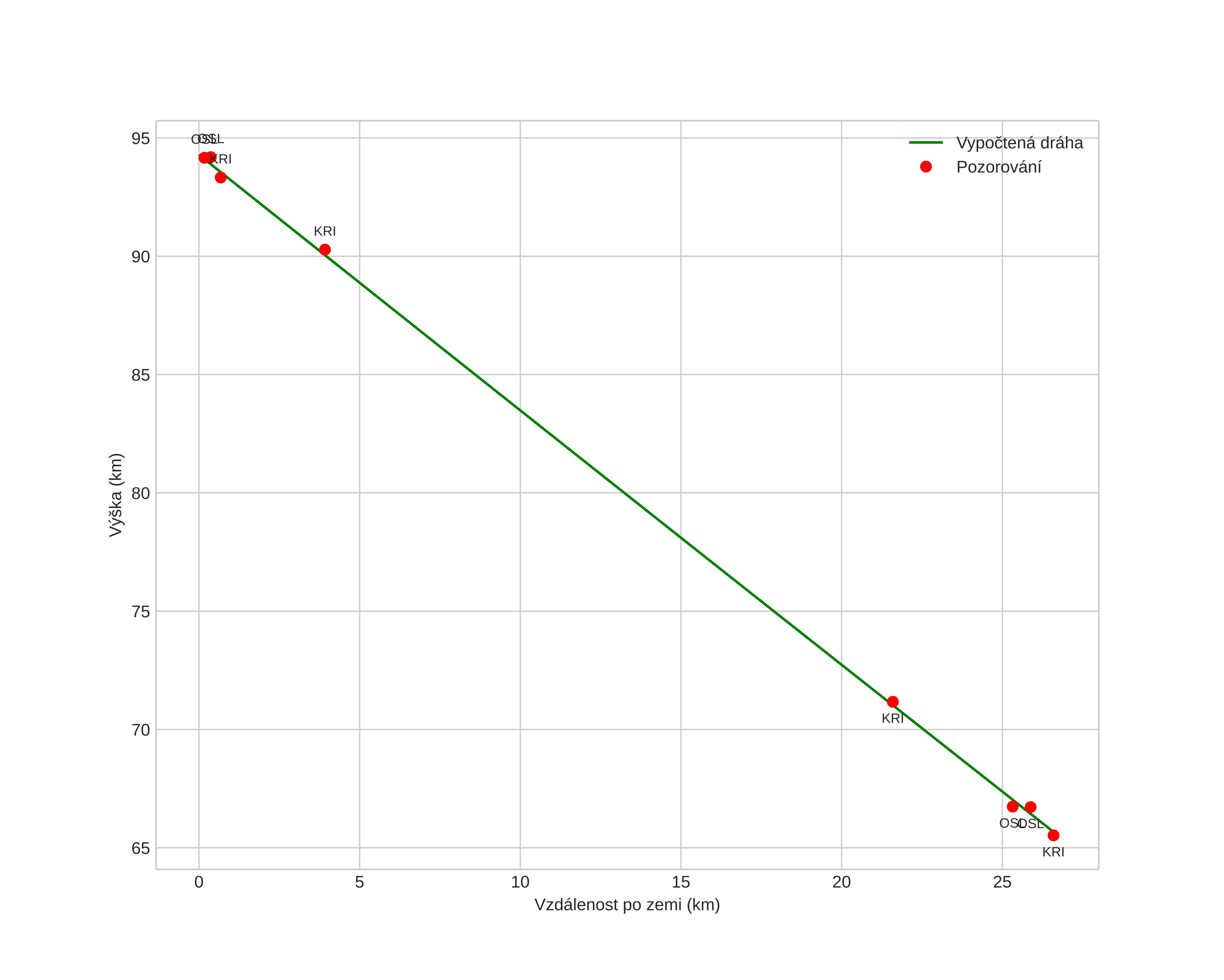
height profile
Atmosférická dráha meteoru:
Počáteční výška: 94,3 km
Konečná výška: 65,6 km
Počáteční poloha: 58,909N 5,847E
Konečná poloha: 59,122N 6,058E
Směr: 26,9°
Sklon: 47,1°
VstupnĂ­ rychlost: 25,8 km/s
Rektascenze radiantu: 04:13 (63,4°)
Deklinace radiantu: 15,9°
MeteorickĂ˝ roj: SevernĂ­ Tauridy
Elementy dráhy meteoroidu:
Vzdálenost v periheliu: 0,497 AU
Excentricita: 0,747
Sklon dráhy: 4,3°
Délka vzestupného uzlu: 59,2°
Argument perihelia: 99,3°
Střední anomálie: 343,7°
Epocha: 2015 NOV 22 01:08:54
orbit plot

NeinteraktivnĂ­ graf | InteraktivnĂ­ graf

position vs time
speed and acceleration