🇳🇴 🇬🇧 🇩🇪 🇨🇿 🇫🇮

Meteor Jørpelandin yllä 2015-11-22 01:08:54 UTC

KML-tiedosto  |  Interaktiivinen kartta

Kartta näyttää meteorin suuntahavainnot. Vaaleammat viivat näyttävät suunnat havaintoasemilta meteorin ilmestyessä, ja tummemmat viivat näyttävät, missä se viimeksi nähtiin. Sininen nuoli näyttää meteorin näkyvän lennon.

static map
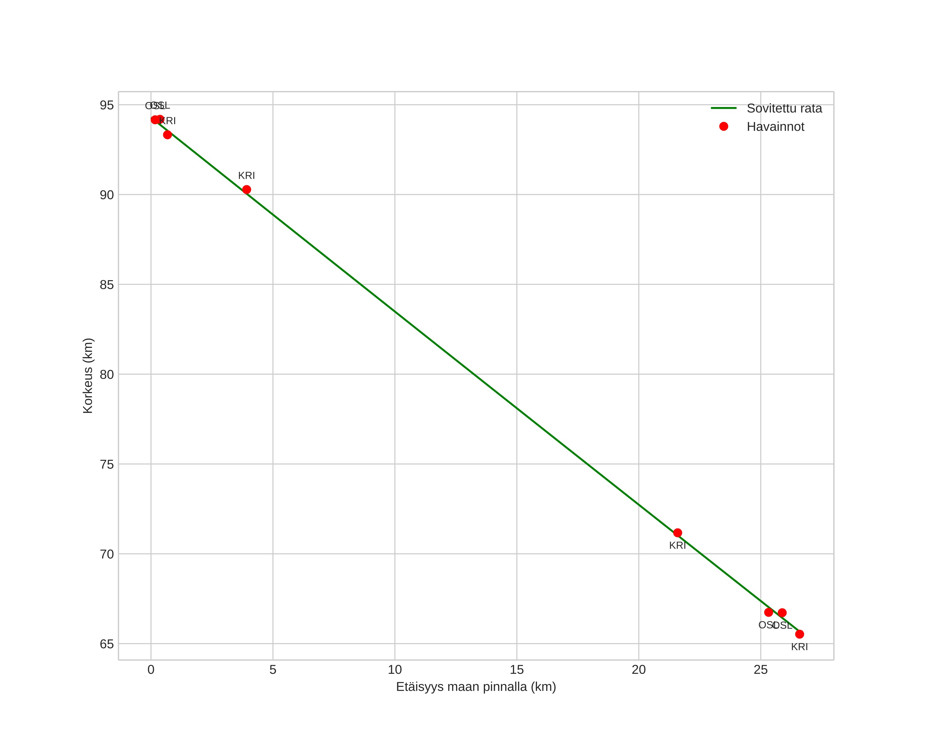
height profile
Meteorin ilmakehärata:
Alkukorkeus: 94,3 km
Loppukorkeus: 65,6 km
Alkupiste: 58,909N 5,847E
Loppupiste: 59,122N 6,058E
Suunta: 26,9°
Kallistuskulma: 47,1°
Tulonopeus: 25,8 km/s
Radiantin R,A,: 04:13 (63,4°)
Radiantin Dekl,: 15,9°
Meteoriparvi: Pohjoiset tauridit
Meteoroidin rataelementit:
Perihelietäisyys: 0,497 AU
Eksentrisyys: 0,747
Inklinaatio: 4,3°
Nousevan solmun pituus: 59,2°
Perihelin argumentti: 99,3°
Keskianomalia: 343,7°
Epookki: 2015 NOV 22 01:08:54
orbit plot

Ei-interaktiivinen kuvaaja | Interaktiivinen kuvaaja

position vs time
speed and acceleration