🇳🇴 🇬🇧 🇩🇪 🇨🇿 🇫🇮

Meteor, poloha: Gjerstad 2015-11-22 02:18:57 UTC

Soubor KML  |  InteraktivnĂ­ mapa

Mapa zobrazuje dráhy meteoru. Světlejší čáry ukazují směry od pozorovacích stanic při objevení se meteoru a tmavší čáry, kde byl naposledy viděn. Modrá šipka značí viditelnou dráhu meteoru.

static map
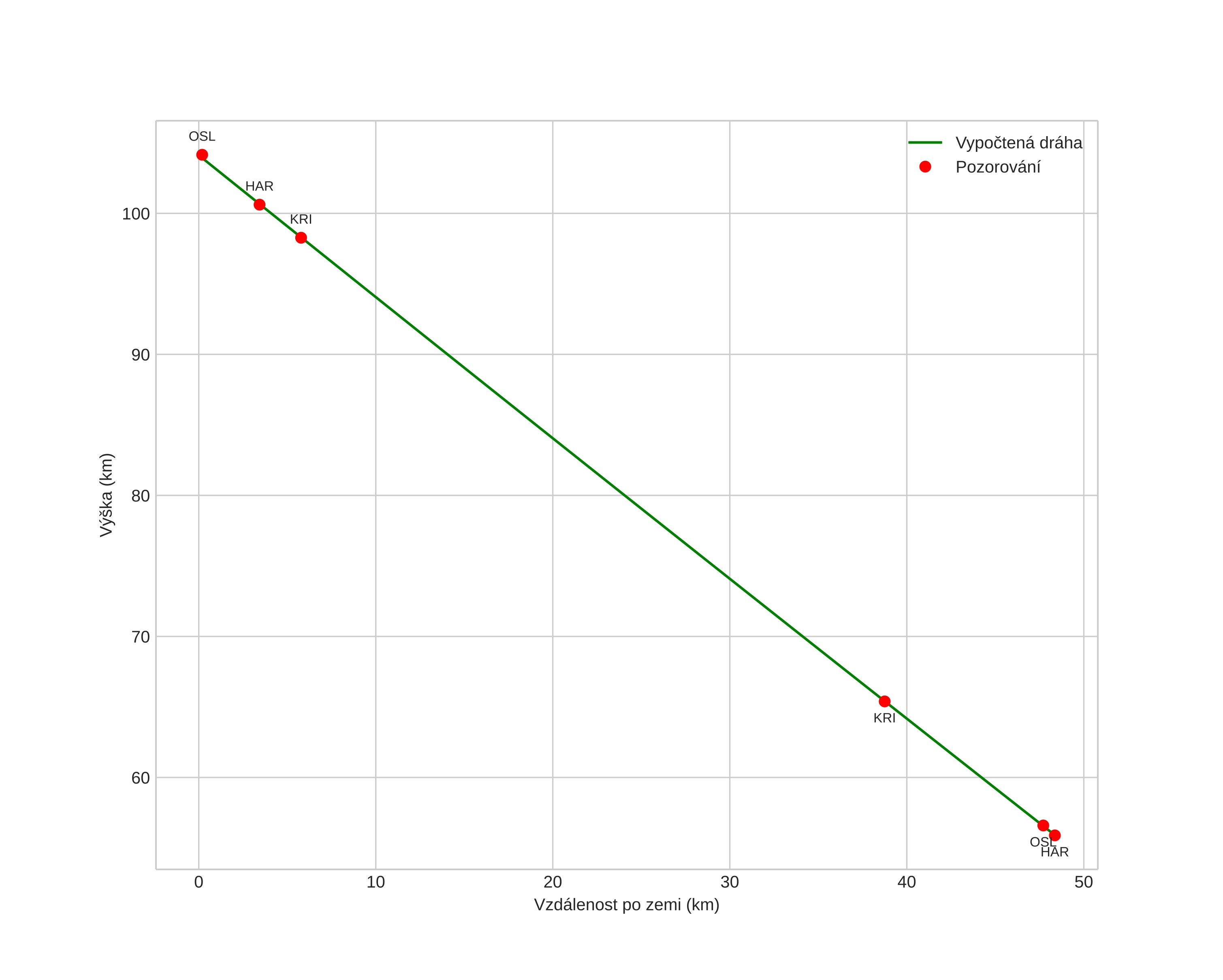
height profile
Atmosférická dráha meteoru:
Počáteční výška: 104,1 km
Konečná výška: 55,9 km
Počáteční poloha: 58,601N 8,410E
Konečná poloha: 58,914N 8,991E
Směr: 43,6°
Sklon: 44,9°
VstupnĂ­ rychlost: 33,0 km/s
Rektascenze radiantu: 04:45 (71,5°)
Deklinace radiantu: 18,1°
MeteorickĂ˝ roj: SevernĂ­ Tauridy
Elementy dráhy meteoroidu:
Vzdálenost v periheliu: 0,313 AU
Excentricita: 0,888
Sklon dráhy: 5,7°
Délka vzestupného uzlu: 59,3°
Argument perihelia: 116,9°
Střední anomálie: 351,6°
Epocha: 2015 NOV 22 02:18:57
orbit plot

NeinteraktivnĂ­ graf | InteraktivnĂ­ graf

position vs time
speed and acceleration