🇳🇴 🇬🇧 🇩🇪 🇨🇿 🇫🇮

Meteor über Gjerstad 2015-11-22 02:18:57 UTC

KML-Datei  |  Interaktive Karte

Die Karte zeigt die Peilungen für den Meteor. Die helleren Linien zeigen die Richtungen von den Beobachtungsorten beim Erscheinen des Meteors, und die dunkleren Linien, wo er zuletzt gesehen wurde. Der blaue Pfeil zeigt die sichtbare Bahn des Meteors.

static map
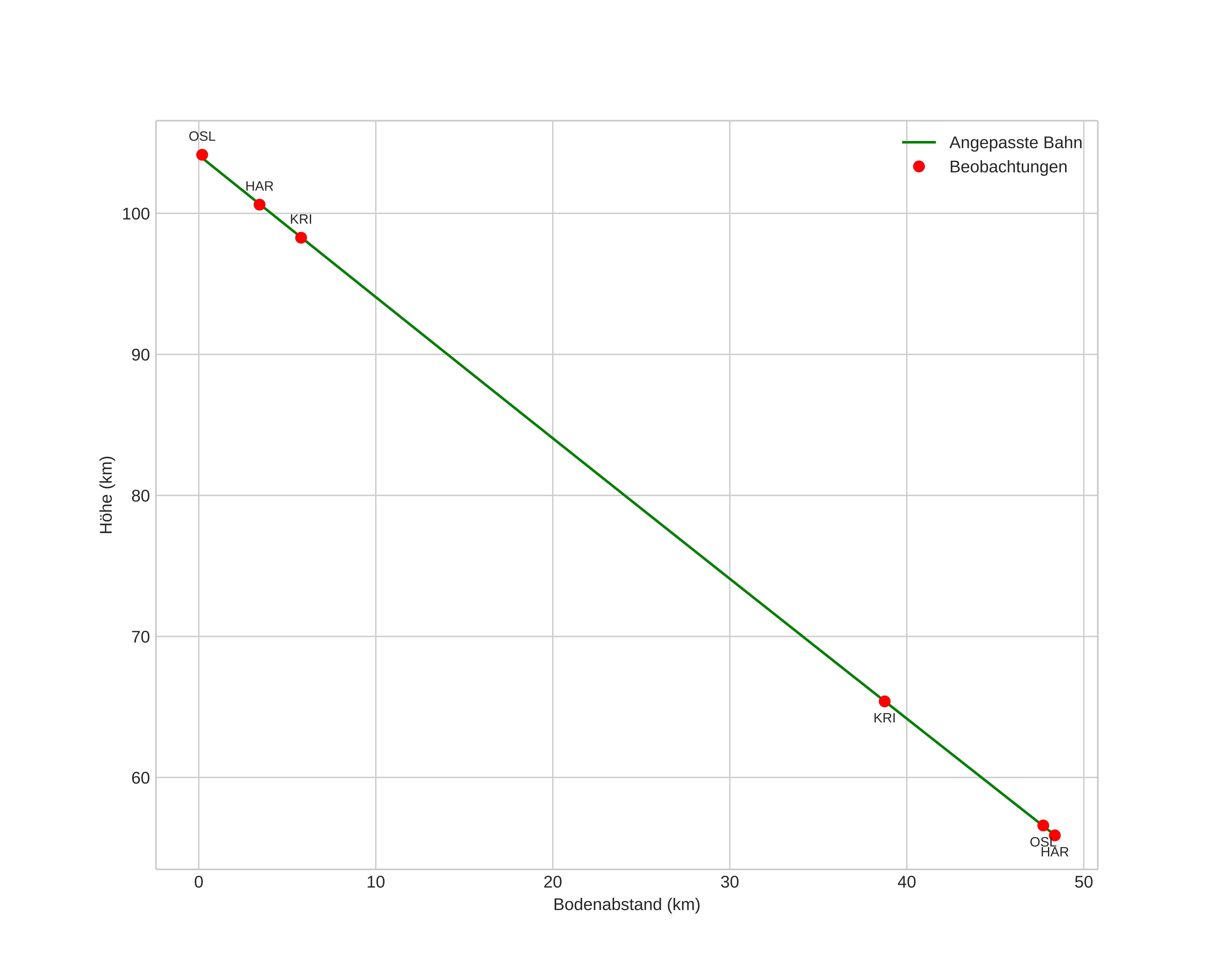
height profile
Atmosphärische Bahn des Meteors:
Anfangshöhe: 104,1 km
Endhöhe: 55,9 km
Startposition: 58,601N 8,410E
Endposition: 58,914N 8,991E
Richtung: 43,6°
Neigungswinkel: 44,9°
Eintrittsgeschwindigkeit: 33,0 km/s
Rektaszension des Radianten: 04:45 (71,5°)
Deklination des Radianten: 18,1°
Meteorstrom: Nördliche Tauriden
Bahnelemente des Meteoroiden:
Periheldistanz: 0,313 AU
Exzentrizität: 0,888
Inklination: 5,7°
Länge des aufsteigenden Knotens: 59,3°
Argument des Perihels: 116,9°
Mittlere Anomalie: 351,6°
Epoche: 2015 NOV 22 02:18:57
orbit plot

Nicht-interaktives Diagramm | Interaktives Diagramm

position vs time
speed and acceleration