🇳🇴 🇬🇧 🇩🇪 🇨🇿 🇫🇮

Meteor, poloha: Jonstorp 2015-11-22 02:38:57 UTC

Soubor KML  |  InteraktivnĂ­ mapa

Mapa zobrazuje dráhy meteoru. Světlejší čáry ukazují směry od pozorovacích stanic při objevení se meteoru a tmavší čáry, kde byl naposledy viděn. Modrá šipka značí viditelnou dráhu meteoru.

static map
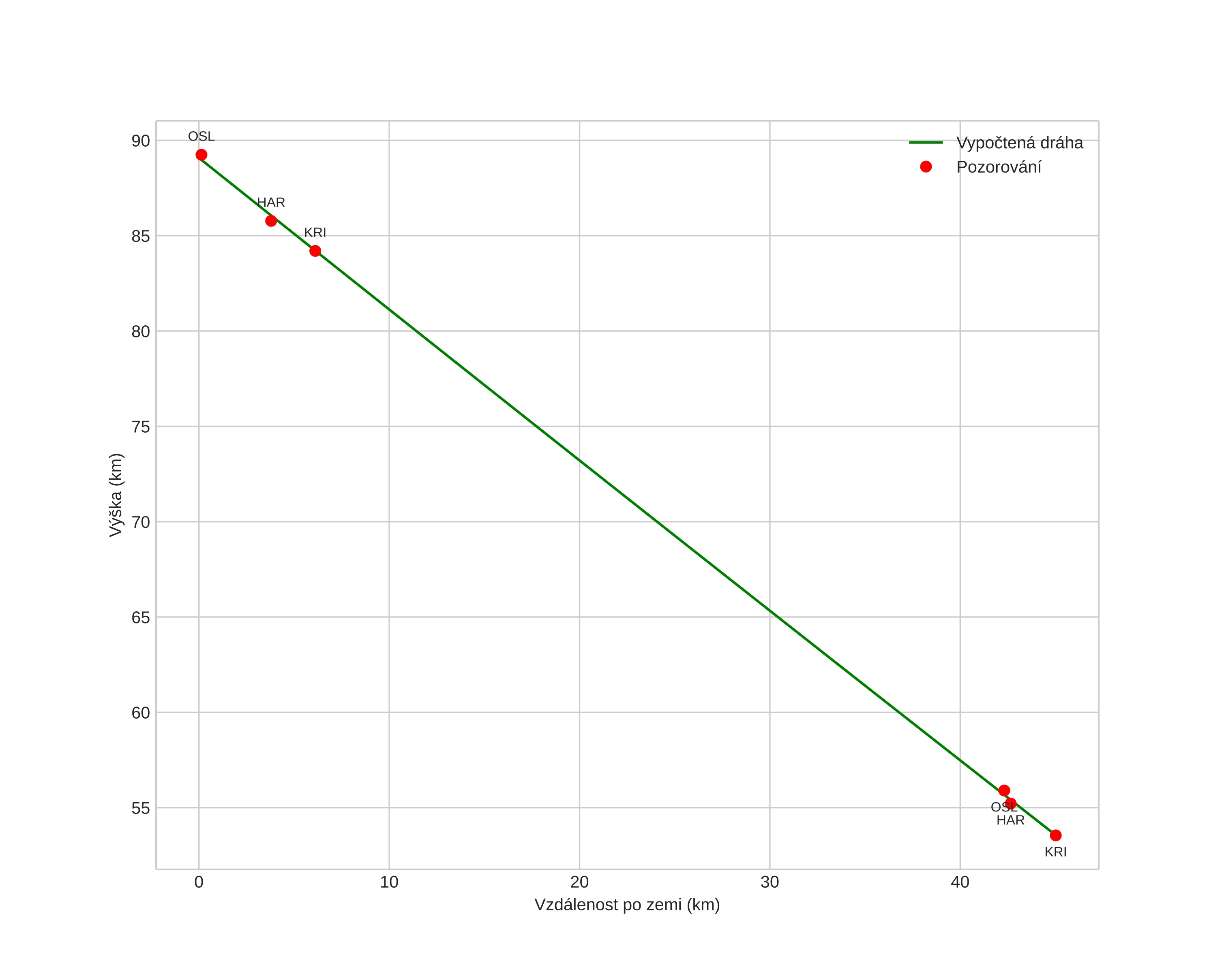
height profile
Atmosférická dráha meteoru:
Počáteční výška: 89,1 km
Konečná výška: 53,6 km
Počáteční poloha: 57,888N 11,976E
Konečná poloha: 58,084N 12,644E
Směr: 60,8°
Sklon: 38,3°
VstupnĂ­ rychlost: 27,5 km/s
Rektascenze radiantu: 04:17 (64,3°)
Deklinace radiantu: 16,3°
MeteorickĂ˝ roj: SevernĂ­ Tauridy
Elementy dráhy meteoroidu:
Vzdálenost v periheliu: 0,465 AU
Excentricita: 0,797
Sklon dráhy: 4,5°
Délka vzestupného uzlu: 59,3°
Argument perihelia: 101,1°
Střední anomálie: 347,5°
Epocha: 2015 NOV 22 02:38:57
orbit plot

NeinteraktivnĂ­ graf | InteraktivnĂ­ graf

position vs time
speed and acceleration