🇳🇴 🇬🇧 🇩🇪 🇨🇿 🇫🇮

Meteor Jonstorpin yllä 2015-11-22 02:38:57 UTC

KML-tiedosto  |  Interaktiivinen kartta

Kartta näyttää meteorin suuntahavainnot. Vaaleammat viivat näyttävät suunnat havaintoasemilta meteorin ilmestyessä, ja tummemmat viivat näyttävät, missä se viimeksi nähtiin. Sininen nuoli näyttää meteorin näkyvän lennon.

static map
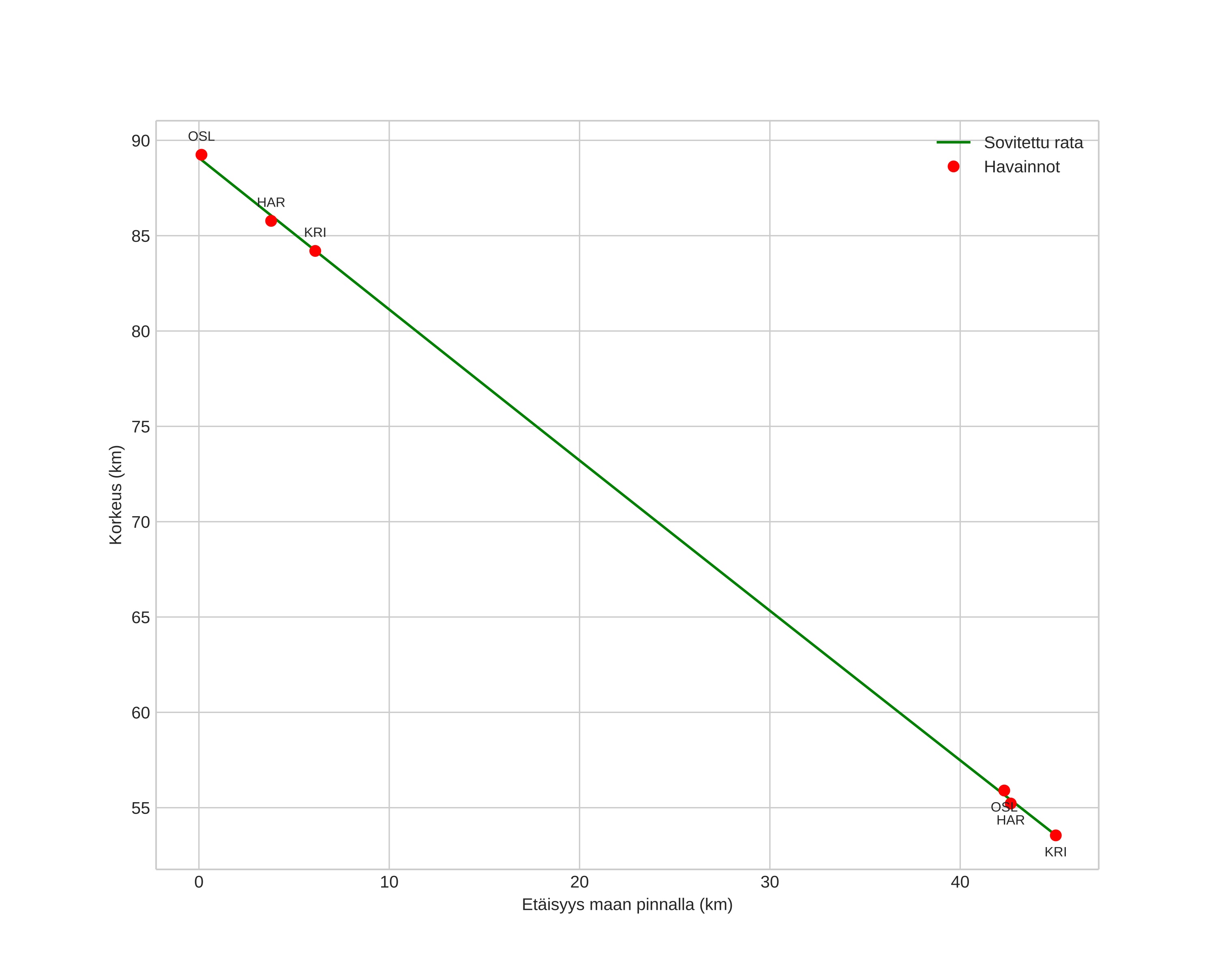
height profile
Meteorin ilmakehärata:
Alkukorkeus: 89,1 km
Loppukorkeus: 53,6 km
Alkupiste: 57,888N 11,976E
Loppupiste: 58,084N 12,644E
Suunta: 60,8°
Kallistuskulma: 38,3°
Tulonopeus: 27,5 km/s
Radiantin R,A,: 04:17 (64,3°)
Radiantin Dekl,: 16,3°
Meteoriparvi: Pohjoiset tauridit
Meteoroidin rataelementit:
Perihelietäisyys: 0,465 AU
Eksentrisyys: 0,797
Inklinaatio: 4,5°
Nousevan solmun pituus: 59,3°
Perihelin argumentti: 101,1°
Keskianomalia: 347,5°
Epookki: 2015 NOV 22 02:38:57
orbit plot

Ei-interaktiivinen kuvaaja | Interaktiivinen kuvaaja

position vs time
speed and acceleration