🇳🇴 🇬🇧 🇩🇪 🇨🇿 🇫🇮

Meteor, poloha: Soderstorf 2015-11-22 21:00:34 UTC

Soubor KML  |  InteraktivnĂ­ mapa

Mapa zobrazuje dráhy meteoru. Světlejší čáry ukazují směry od pozorovacích stanic při objevení se meteoru a tmavší čáry, kde byl naposledy viděn. Modrá šipka značí viditelnou dráhu meteoru.

static map
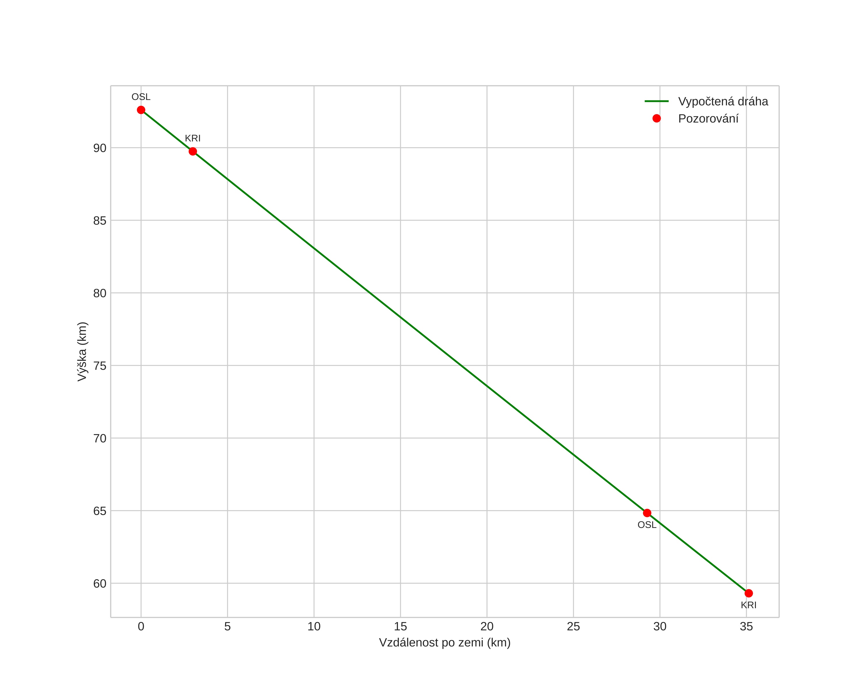
height profile
Atmosférická dráha meteoru:
Počáteční výška: 92,6 km
Konečná výška: 59,3 km
Počáteční poloha: 52,922N 10,509E
Konečná poloha: 53,132N 10,118E
Směr: 312,0°
Sklon: 43,5°
VstupnĂ­ rychlost: 27,9 km/s
Rektascenze radiantu: 04:04 (61,2°)
Deklinace radiantu: 12,9°
MeteorickĂ˝ roj: sporadickĂ˝
Elementy dráhy meteoroidu:
Vzdálenost v periheliu: 0,523 AU
Excentricita: 0,840
Sklon dráhy: 6,7°
Délka vzestupného uzlu: 60,0°
Argument perihelia: 91,7°
Střední anomálie: 353,0°
Epocha: 2015 NOV 22 21:00:34
orbit plot

NeinteraktivnĂ­ graf | InteraktivnĂ­ graf

position vs time
speed and acceleration