🇳🇴 🇬🇧 🇩🇪 🇨🇿 🇫🇮

Meteor Soderstorfin yllä 2015-11-22 21:00:34 UTC

KML-tiedosto  |  Interaktiivinen kartta

Kartta näyttää meteorin suuntahavainnot. Vaaleammat viivat näyttävät suunnat havaintoasemilta meteorin ilmestyessä, ja tummemmat viivat näyttävät, missä se viimeksi nähtiin. Sininen nuoli näyttää meteorin näkyvän lennon.

static map
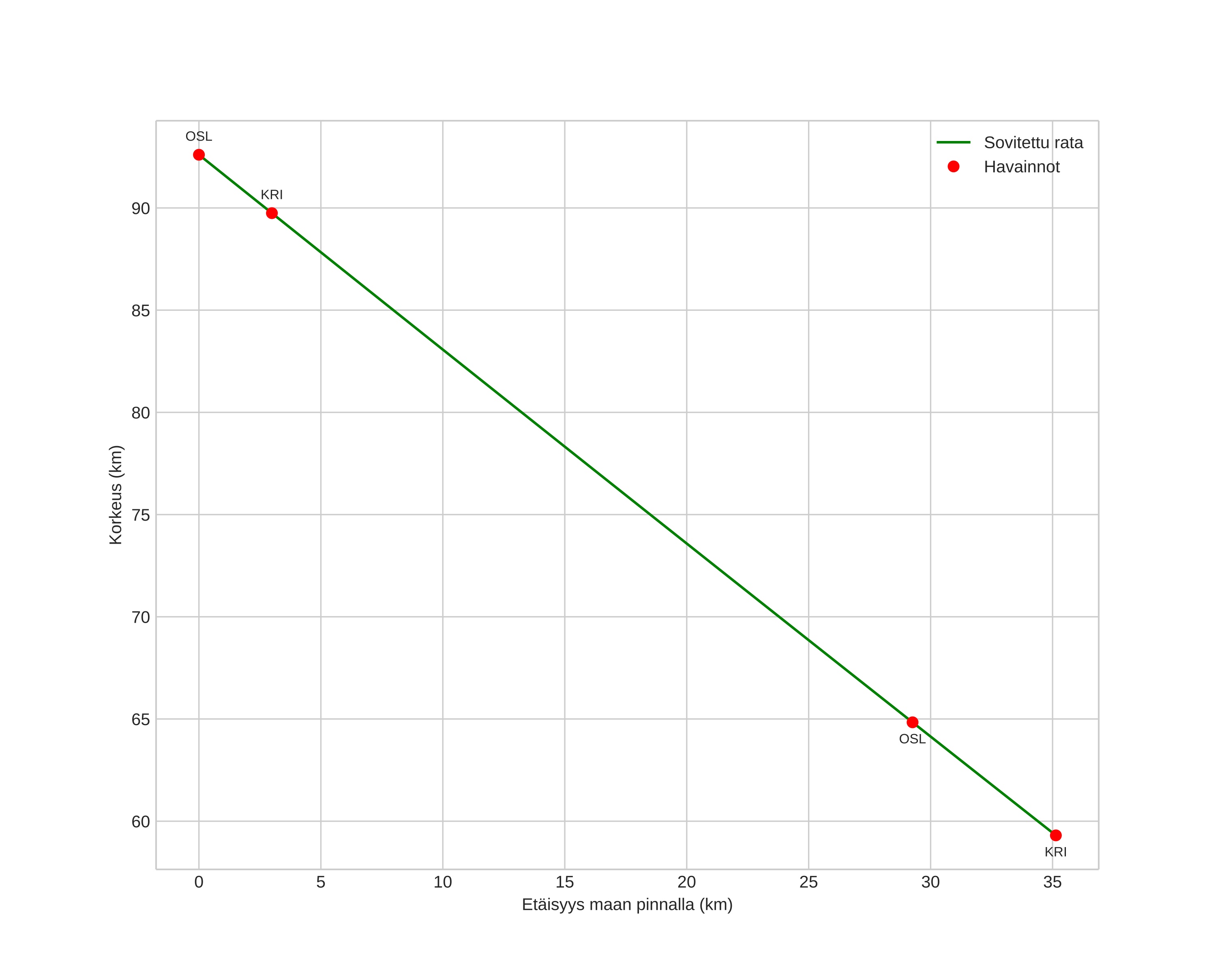
height profile
Meteorin ilmakehärata:
Alkukorkeus: 92,6 km
Loppukorkeus: 59,3 km
Alkupiste: 52,922N 10,509E
Loppupiste: 53,132N 10,118E
Suunta: 312,0°
Kallistuskulma: 43,5°
Tulonopeus: 27,9 km/s
Radiantin R,A,: 04:04 (61,2°)
Radiantin Dekl,: 12,9°
Meteoriparvi: Sporadinen
Meteoroidin rataelementit:
Perihelietäisyys: 0,523 AU
Eksentrisyys: 0,840
Inklinaatio: 6,7°
Nousevan solmun pituus: 60,0°
Perihelin argumentti: 91,7°
Keskianomalia: 353,0°
Epookki: 2015 NOV 22 21:00:34
orbit plot

Ei-interaktiivinen kuvaaja | Interaktiivinen kuvaaja

position vs time
speed and acceleration