🇳🇴 🇬🇧 🇩🇪 🇨🇿 🇫🇮

Meteor nad Oslem 2015-11-25 20:38:42 UTC

Soubor KML  |  InteraktivnĂ­ mapa

Mapa zobrazuje dráhy meteoru. Světlejší čáry ukazují směry od pozorovacích stanic při objevení se meteoru a tmavší čáry, kde byl naposledy viděn. Modrá šipka značí viditelnou dráhu meteoru.

static map
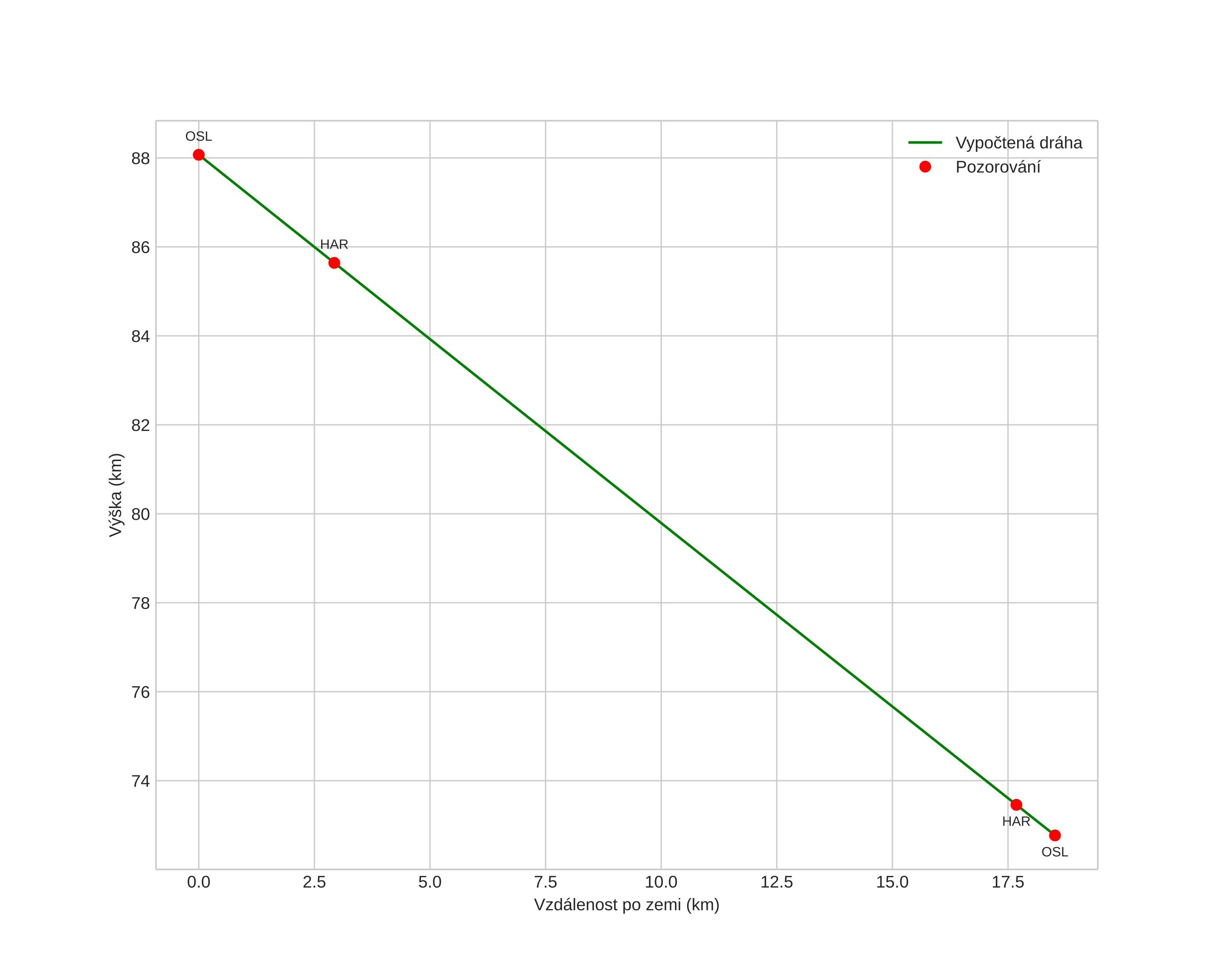
height profile
Atmosférická dráha meteoru:
Počáteční výška: 88,1 km
Konečná výška: 72,8 km
Počáteční poloha: 59,795N 10,976E
Konečná poloha: 59,900N 10,719E
Směr: 309,3°
Sklon: 39,6°
VstupnĂ­ rychlost: 26,7 km/s
Rektascenze radiantu: 04:16 (64,2°)
Deklinace radiantu: 15,4°
MeteorickĂ˝ roj: SevernĂ­ Tauridy
Elementy dráhy meteoroidu:
Vzdálenost v periheliu: 0,528 AU
Excentricita: 0,798
Sklon dráhy: 4,8°
Délka vzestupného uzlu: 63,1°
Argument perihelia: 92,7°
Střední anomálie: 349,9°
Epocha: 2015 NOV 25 20:38:42
orbit plot

NeinteraktivnĂ­ graf | InteraktivnĂ­ graf

position vs time
speed and acceleration