🇳🇴 🇬🇧 🇩🇪 🇨🇿 🇫🇮

Meteor Oslon yllä 2015-11-25 20:38:42 UTC

KML-tiedosto  |  Interaktiivinen kartta

Kartta näyttää meteorin suuntahavainnot. Vaaleammat viivat näyttävät suunnat havaintoasemilta meteorin ilmestyessä, ja tummemmat viivat näyttävät, missä se viimeksi nähtiin. Sininen nuoli näyttää meteorin näkyvän lennon.

static map
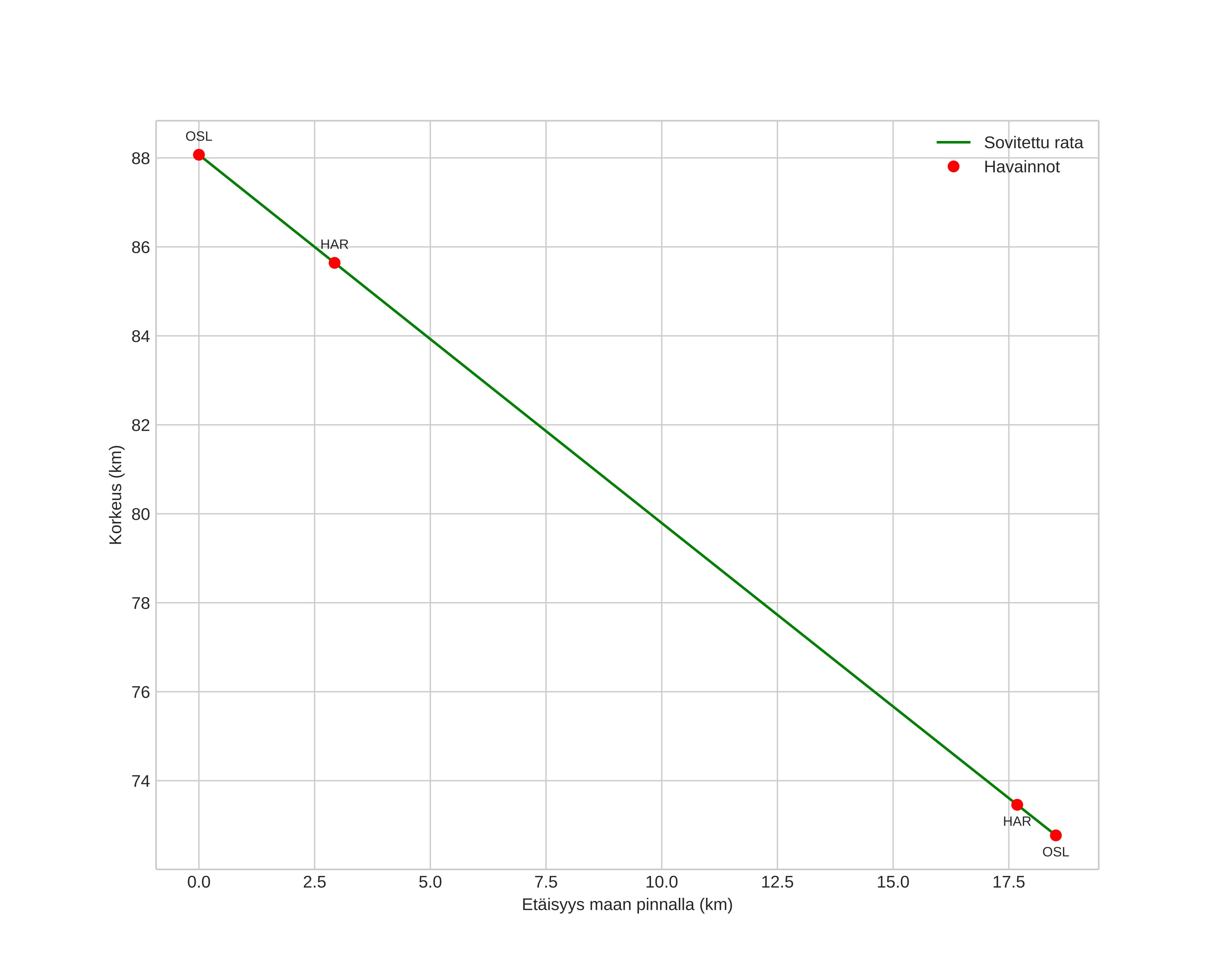
height profile
Meteorin ilmakehärata:
Alkukorkeus: 88,1 km
Loppukorkeus: 72,8 km
Alkupiste: 59,795N 10,976E
Loppupiste: 59,900N 10,719E
Suunta: 309,3°
Kallistuskulma: 39,6°
Tulonopeus: 26,7 km/s
Radiantin R,A,: 04:16 (64,2°)
Radiantin Dekl,: 15,4°
Meteoriparvi: Pohjoiset tauridit
Meteoroidin rataelementit:
Perihelietäisyys: 0,528 AU
Eksentrisyys: 0,798
Inklinaatio: 4,8°
Nousevan solmun pituus: 63,1°
Perihelin argumentti: 92,7°
Keskianomalia: 349,9°
Epookki: 2015 NOV 25 20:38:42
orbit plot

Ei-interaktiivinen kuvaaja | Interaktiivinen kuvaaja

position vs time
speed and acceleration