🇳🇴 🇬🇧 🇩🇪 🇨🇿 🇫🇮

Meteor, poloha: Hvittingfoss 2015-11-26 01:31:01 UTC

Soubor KML  |  InteraktivnĂ­ mapa

Mapa zobrazuje dráhy meteoru. Světlejší čáry ukazují směry od pozorovacích stanic při objevení se meteoru a tmavší čáry, kde byl naposledy viděn. Modrá šipka značí viditelnou dráhu meteoru.

static map
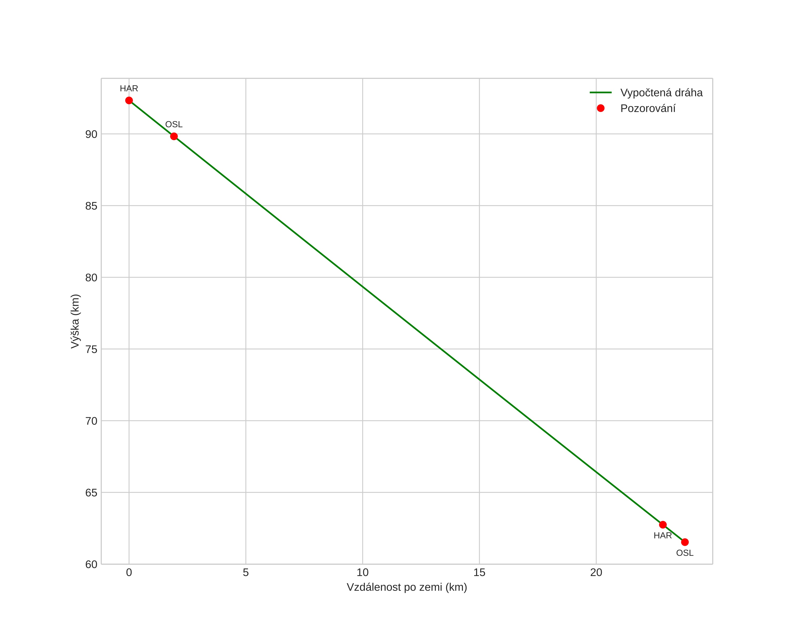
height profile
Atmosférická dráha meteoru:
Počáteční výška: 92,3 km
Konečná výška: 61,5 km
Počáteční poloha: 59,260N 9,825E
Konečná poloha: 59,416N 10,112E
Směr: 43,0°
Sklon: 52,3°
VstupnĂ­ rychlost: 25,6 km/s
Rektascenze radiantu: 04:30 (67,7°)
Deklinace radiantu: 24,7°
MeteorickĂ˝ roj: SevernĂ­ Tauridy
Elementy dráhy meteoroidu:
Vzdálenost v periheliu: 0,480 AU
Excentricita: 0,731
Sklon dráhy: 2,4°
Délka vzestupného uzlu: 243,2°
Argument perihelia: 282,5°
Střední anomálie: 340,9°
Epocha: 2015 NOV 26 01:31:01
orbit plot

NeinteraktivnĂ­ graf | InteraktivnĂ­ graf

position vs time
speed and acceleration