🇳🇴 🇬🇧 🇩🇪 🇨🇿 🇫🇮

Meteor über Hvittingfoss 2015-11-26 01:31:01 UTC

KML-Datei  |  Interaktive Karte

Die Karte zeigt die Peilungen für den Meteor. Die helleren Linien zeigen die Richtungen von den Beobachtungsorten beim Erscheinen des Meteors, und die dunkleren Linien, wo er zuletzt gesehen wurde. Der blaue Pfeil zeigt die sichtbare Bahn des Meteors.

static map
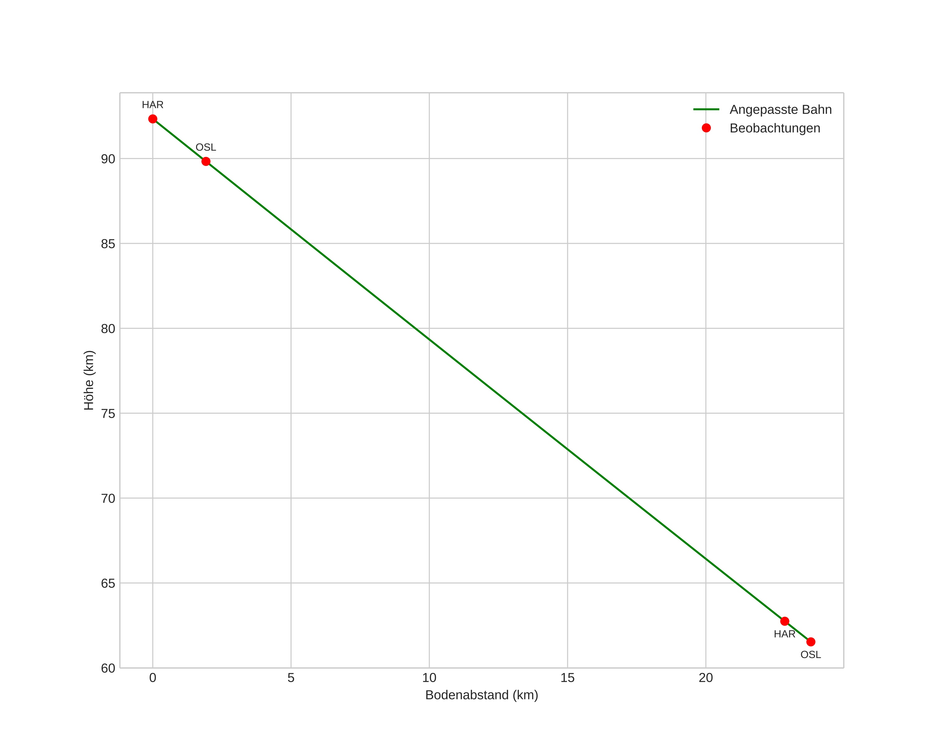
height profile
Atmosphärische Bahn des Meteors:
Anfangshöhe: 92,3 km
Endhöhe: 61,5 km
Startposition: 59,260N 9,825E
Endposition: 59,416N 10,112E
Richtung: 43,0°
Neigungswinkel: 52,3°
Eintrittsgeschwindigkeit: 25,6 km/s
Rektaszension des Radianten: 04:30 (67,7°)
Deklination des Radianten: 24,7°
Meteorstrom: Nördliche Tauriden
Bahnelemente des Meteoroiden:
Periheldistanz: 0,480 AU
Exzentrizität: 0,731
Inklination: 2,4°
Länge des aufsteigenden Knotens: 243,2°
Argument des Perihels: 282,5°
Mittlere Anomalie: 340,9°
Epoche: 2015 NOV 26 01:31:01
orbit plot

Nicht-interaktives Diagramm | Interaktives Diagramm

position vs time
speed and acceleration