🇳🇴 🇬🇧 🇩🇪 🇨🇿 🇫🇮

Meteor über Hornslet 2015-11-28 17:07:45 UTC

KML-Datei  |  Interaktive Karte

Die Karte zeigt die Peilungen für den Meteor. Die helleren Linien zeigen die Richtungen von den Beobachtungsorten beim Erscheinen des Meteors, und die dunkleren Linien, wo er zuletzt gesehen wurde. Der blaue Pfeil zeigt die sichtbare Bahn des Meteors.

static map
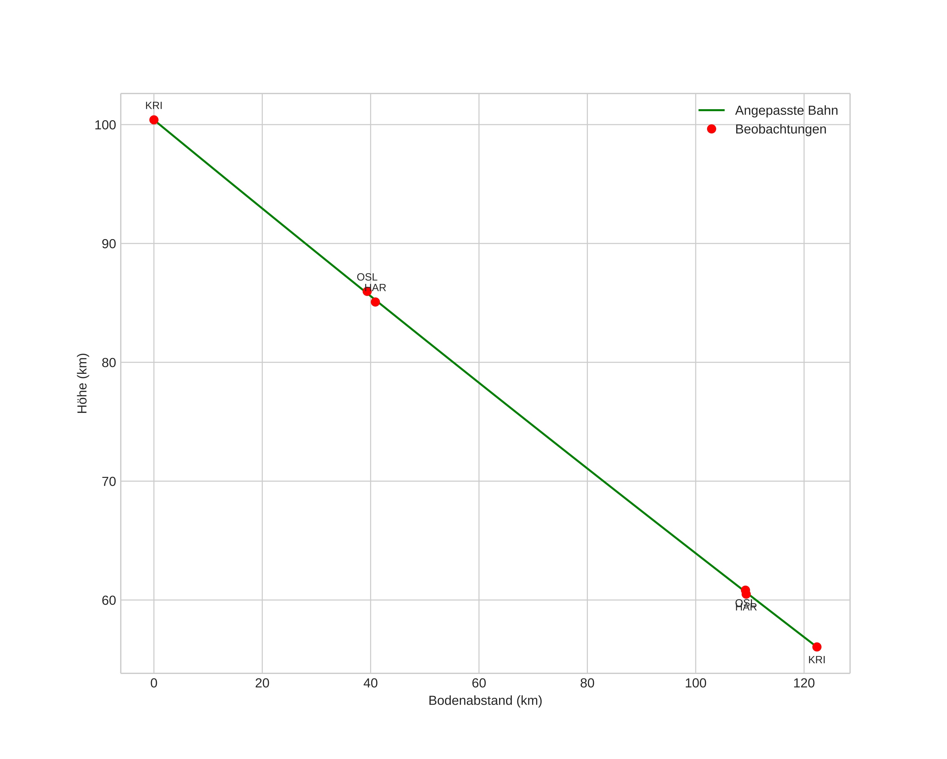
height profile
Atmosphärische Bahn des Meteors:
Anfangshöhe: 100,4 km
Endhöhe: 56,0 km
Startposition: 56,745N 12,152E
Endposition: 56,351N 10,288E
Richtung: 249,8°
Neigungswinkel: 19,9°
Eintrittsgeschwindigkeit: 28,4 km/s
Rektaszension des Radianten: 04:54 (73,7°)
Deklination des Radianten: 25,0°
Meteorstrom: Nördliche Tauriden
Bahnelemente des Meteoroiden:
Periheldistanz: 0,415 AU
Exzentrizität: 0,788
Inklination: 2,4°
Länge des aufsteigenden Knotens: 245,9°
Argument des Perihels: 288,4°
Mittlere Anomalie: 344,1°
Epoche: 2015 NOV 28 17:07:45
orbit plot

Nicht-interaktives Diagramm | Interaktives Diagramm

position vs time
speed and acceleration