🇳🇴 🇬🇧 🇩🇪 🇨🇿 🇫🇮

Meteor Hornsletin yllä 2015-11-28 17:07:45 UTC

KML-tiedosto  |  Interaktiivinen kartta

Kartta näyttää meteorin suuntahavainnot. Vaaleammat viivat näyttävät suunnat havaintoasemilta meteorin ilmestyessä, ja tummemmat viivat näyttävät, missä se viimeksi nähtiin. Sininen nuoli näyttää meteorin näkyvän lennon.

static map
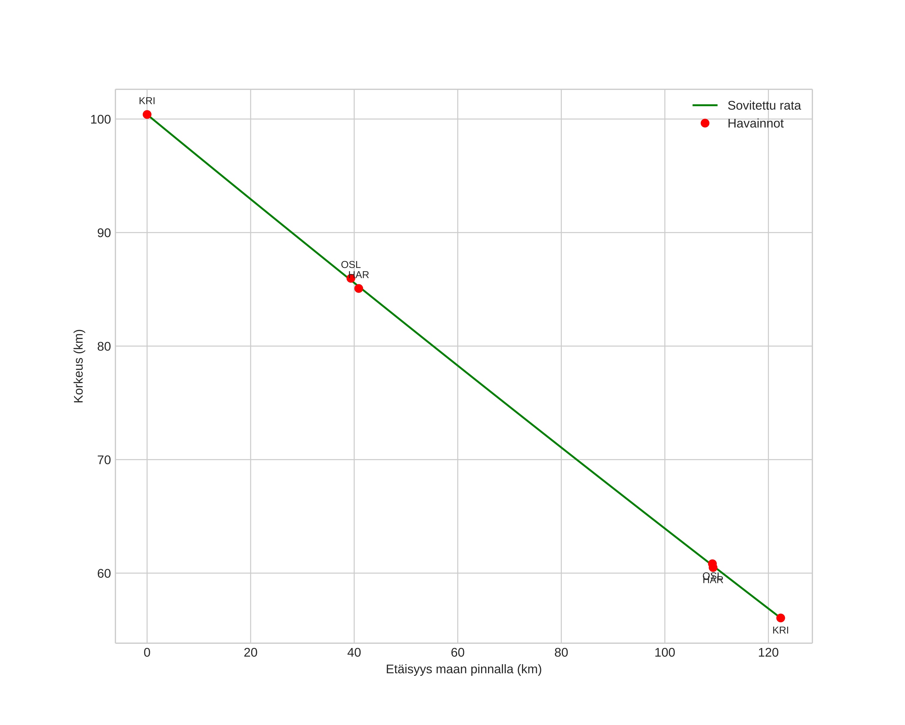
height profile
Meteorin ilmakehärata:
Alkukorkeus: 100,4 km
Loppukorkeus: 56,0 km
Alkupiste: 56,745N 12,152E
Loppupiste: 56,351N 10,288E
Suunta: 249,8°
Kallistuskulma: 19,9°
Tulonopeus: 28,4 km/s
Radiantin R,A,: 04:54 (73,7°)
Radiantin Dekl,: 25,0°
Meteoriparvi: Pohjoiset tauridit
Meteoroidin rataelementit:
Perihelietäisyys: 0,415 AU
Eksentrisyys: 0,788
Inklinaatio: 2,4°
Nousevan solmun pituus: 245,9°
Perihelin argumentti: 288,4°
Keskianomalia: 344,1°
Epookki: 2015 NOV 28 17:07:45
orbit plot

Ei-interaktiivinen kuvaaja | Interaktiivinen kuvaaja

position vs time
speed and acceleration