🇳🇴 🇬🇧 🇩🇪 🇨🇿 🇫🇮

Meteor, poloha: AlingsĂĄs 2015-11-30 18:34:55 UTC

Soubor KML  |  InteraktivnĂ­ mapa

Mapa zobrazuje dráhy meteoru. Světlejší čáry ukazují směry od pozorovacích stanic při objevení se meteoru a tmavší čáry, kde byl naposledy viděn. Modrá šipka značí viditelnou dráhu meteoru.

static map
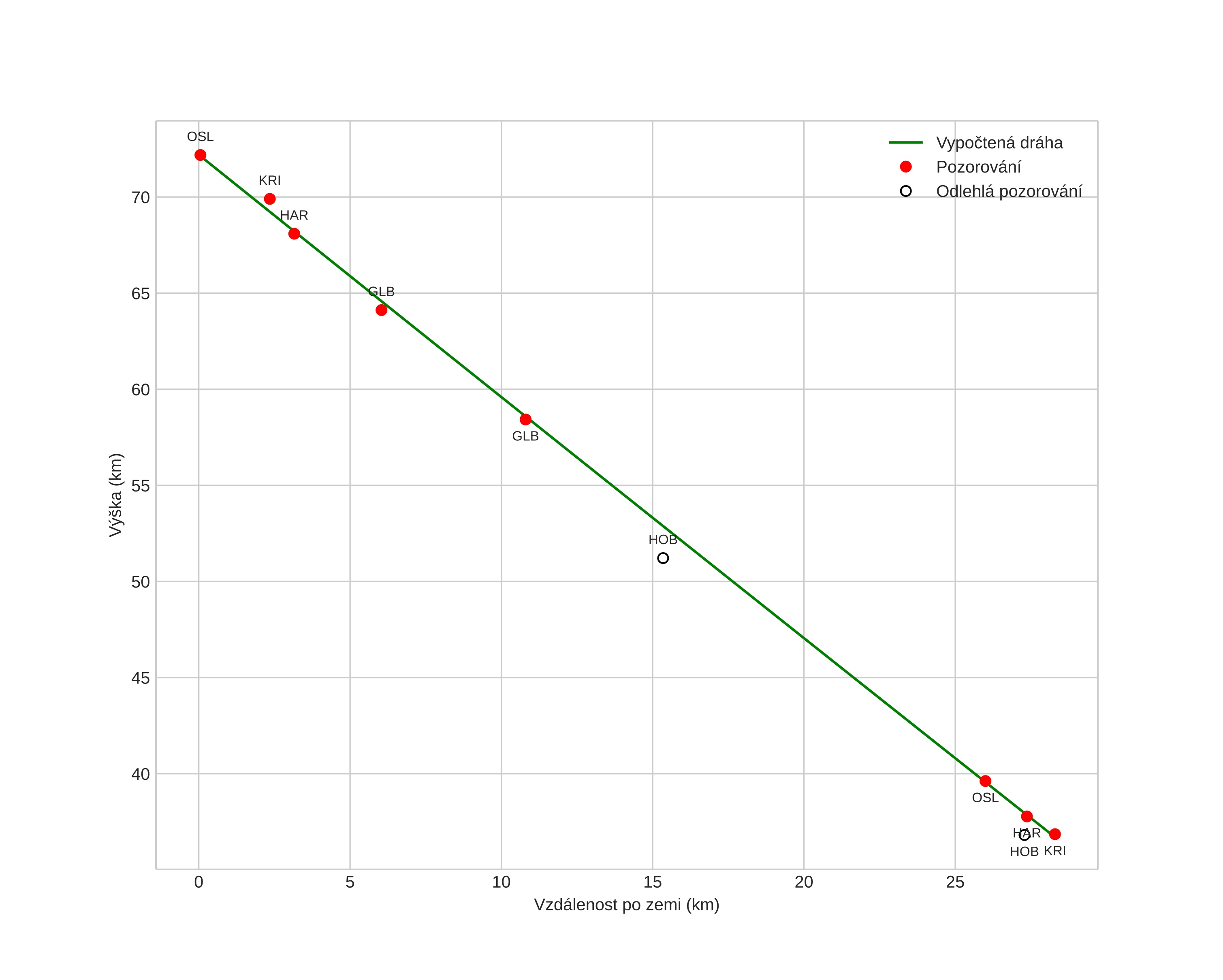
height profile
Atmosférická dráha meteoru:
Počáteční výška: 72,2 km
Konečná výška: 36,8 km
Počáteční poloha: 57,663N 12,620E
Konečná poloha: 57,913N 12,540E
Směr: 350,3°
Sklon: 51,4°
VstupnĂ­ rychlost: 14,6 km/s
Rektascenze radiantu: 00:25 (6,4°)
Deklinace radiantu: 10,7°
MeteorickĂ˝ roj: sporadickĂ˝
Elementy dráhy meteoroidu:
Vzdálenost v periheliu: 0,963 AU
Excentricita: 0,655
Sklon dráhy: 1,8°
Délka vzestupného uzlu: 247,9°
Argument perihelia: 199,9°
Střední anomálie: 356,8°
Epocha: 2015 NOV 30 18:34:55
orbit plot

NeinteraktivnĂ­ graf | InteraktivnĂ­ graf

position vs time
speed and acceleration