🇳🇴 🇬🇧 🇩🇪 🇨🇿 🇫🇮

Meteor Alingsåsin yllä 2015-11-30 18:34:55 UTC

KML-tiedosto  |  Interaktiivinen kartta

Kartta näyttää meteorin suuntahavainnot. Vaaleammat viivat näyttävät suunnat havaintoasemilta meteorin ilmestyessä, ja tummemmat viivat näyttävät, missä se viimeksi nähtiin. Sininen nuoli näyttää meteorin näkyvän lennon.

static map
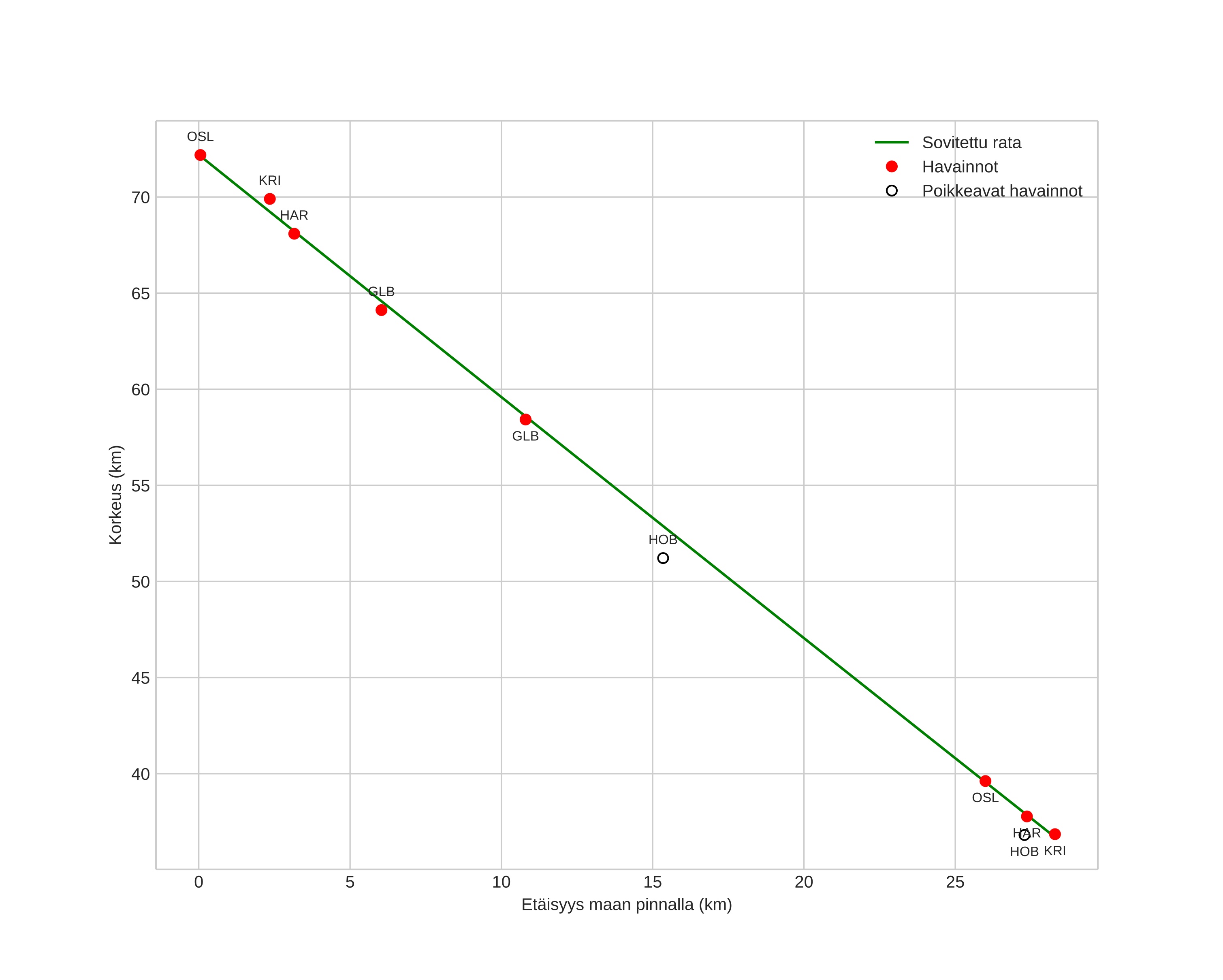
height profile
Meteorin ilmakehärata:
Alkukorkeus: 72,2 km
Loppukorkeus: 36,8 km
Alkupiste: 57,663N 12,620E
Loppupiste: 57,913N 12,540E
Suunta: 350,3°
Kallistuskulma: 51,4°
Tulonopeus: 14,6 km/s
Radiantin R,A,: 00:25 (6,4°)
Radiantin Dekl,: 10,7°
Meteoriparvi: Sporadinen
Meteoroidin rataelementit:
Perihelietäisyys: 0,963 AU
Eksentrisyys: 0,655
Inklinaatio: 1,8°
Nousevan solmun pituus: 247,9°
Perihelin argumentti: 199,9°
Keskianomalia: 356,8°
Epookki: 2015 NOV 30 18:34:55
orbit plot

Ei-interaktiivinen kuvaaja | Interaktiivinen kuvaaja

position vs time
speed and acceleration