🇳🇴 🇬🇧 🇩🇪 🇨🇿 🇫🇮

Meteor, poloha: Gistrup 2015-12-01 16:56:07 UTC

Soubor KML  |  InteraktivnĂ­ mapa

Mapa zobrazuje dráhy meteoru. Světlejší čáry ukazují směry od pozorovacích stanic při objevení se meteoru a tmavší čáry, kde byl naposledy viděn. Modrá šipka značí viditelnou dráhu meteoru.

static map
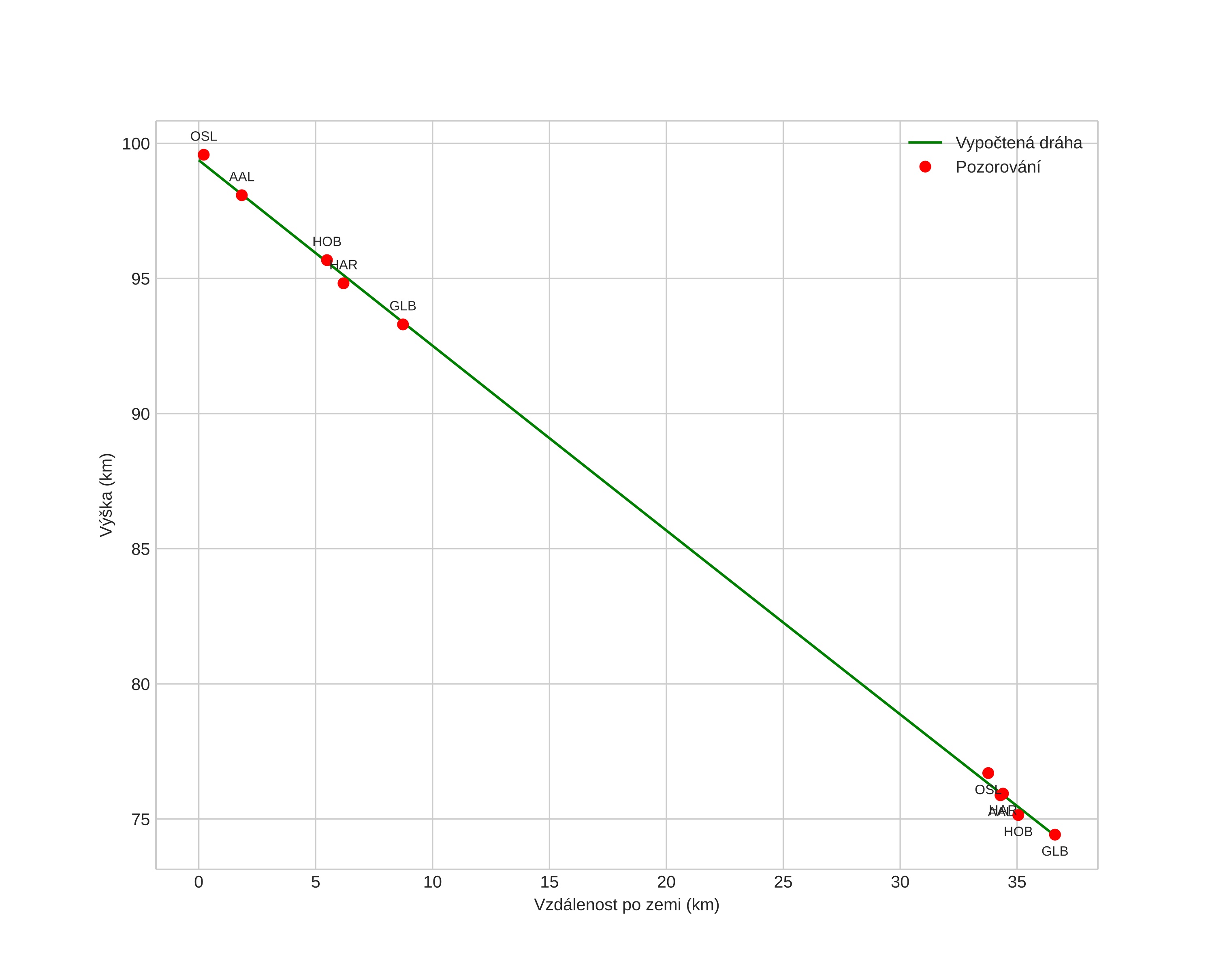
height profile
Atmosférická dráha meteoru:
Počáteční výška: 99,4 km
Konečná výška: 74,4 km
Počáteční poloha: 57,106N 9,595E
Konečná poloha: 56,880N 10,034E
Směr: 133,3°
Sklon: 34,3°
VstupnĂ­ rychlost: 41,5 km/s
Rektascenze radiantu: 15:08 (227,1°)
Deklinace radiantu: 50,3°
MeteorickĂ˝ roj: sporadickĂ˝
Elementy dráhy meteoroidu:
Vzdálenost v periheliu: 0,911 AU
Excentricita: 0,838
Sklon dráhy: 66,3°
Délka vzestupného uzlu: 249,0°
Argument perihelia: 146,5°
Střední anomálie: 1,7°
Epocha: 2015 DEC 01 16:56:07
orbit plot

NeinteraktivnĂ­ graf | InteraktivnĂ­ graf

position vs time
speed and acceleration