🇳🇴 🇬🇧 🇩🇪 🇨🇿 🇫🇮

Meteor Gistrupin yllä 2015-12-01 16:56:07 UTC

KML-tiedosto  |  Interaktiivinen kartta

Kartta näyttää meteorin suuntahavainnot. Vaaleammat viivat näyttävät suunnat havaintoasemilta meteorin ilmestyessä, ja tummemmat viivat näyttävät, missä se viimeksi nähtiin. Sininen nuoli näyttää meteorin näkyvän lennon.

static map
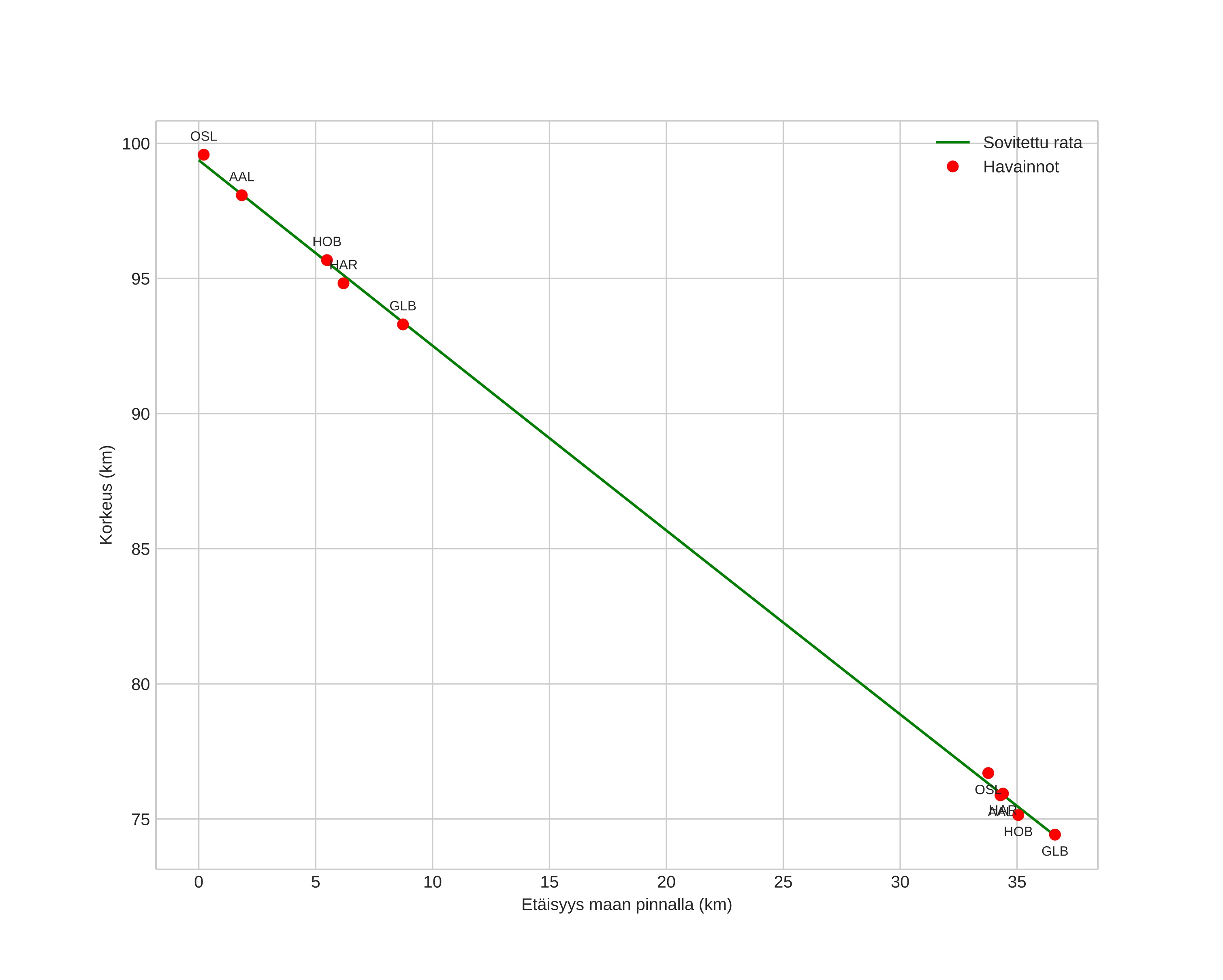
height profile
Meteorin ilmakehärata:
Alkukorkeus: 99,4 km
Loppukorkeus: 74,4 km
Alkupiste: 57,106N 9,595E
Loppupiste: 56,880N 10,034E
Suunta: 133,3°
Kallistuskulma: 34,3°
Tulonopeus: 41,5 km/s
Radiantin R,A,: 15:08 (227,1°)
Radiantin Dekl,: 50,3°
Meteoriparvi: Sporadinen
Meteoroidin rataelementit:
Perihelietäisyys: 0,911 AU
Eksentrisyys: 0,838
Inklinaatio: 66,3°
Nousevan solmun pituus: 249,0°
Perihelin argumentti: 146,5°
Keskianomalia: 1,7°
Epookki: 2015 DEC 01 16:56:07
orbit plot

Ei-interaktiivinen kuvaaja | Interaktiivinen kuvaaja

position vs time
speed and acceleration