🇳🇴 🇬🇧 🇩🇪 🇨🇿 🇫🇮

Meteor, poloha: Sand 2015-12-01 22:41:13 UTC

Soubor KML  |  InteraktivnĂ­ mapa

Mapa zobrazuje dráhy meteoru. Světlejší čáry ukazují směry od pozorovacích stanic při objevení se meteoru a tmavší čáry, kde byl naposledy viděn. Modrá šipka značí viditelnou dráhu meteoru.

static map
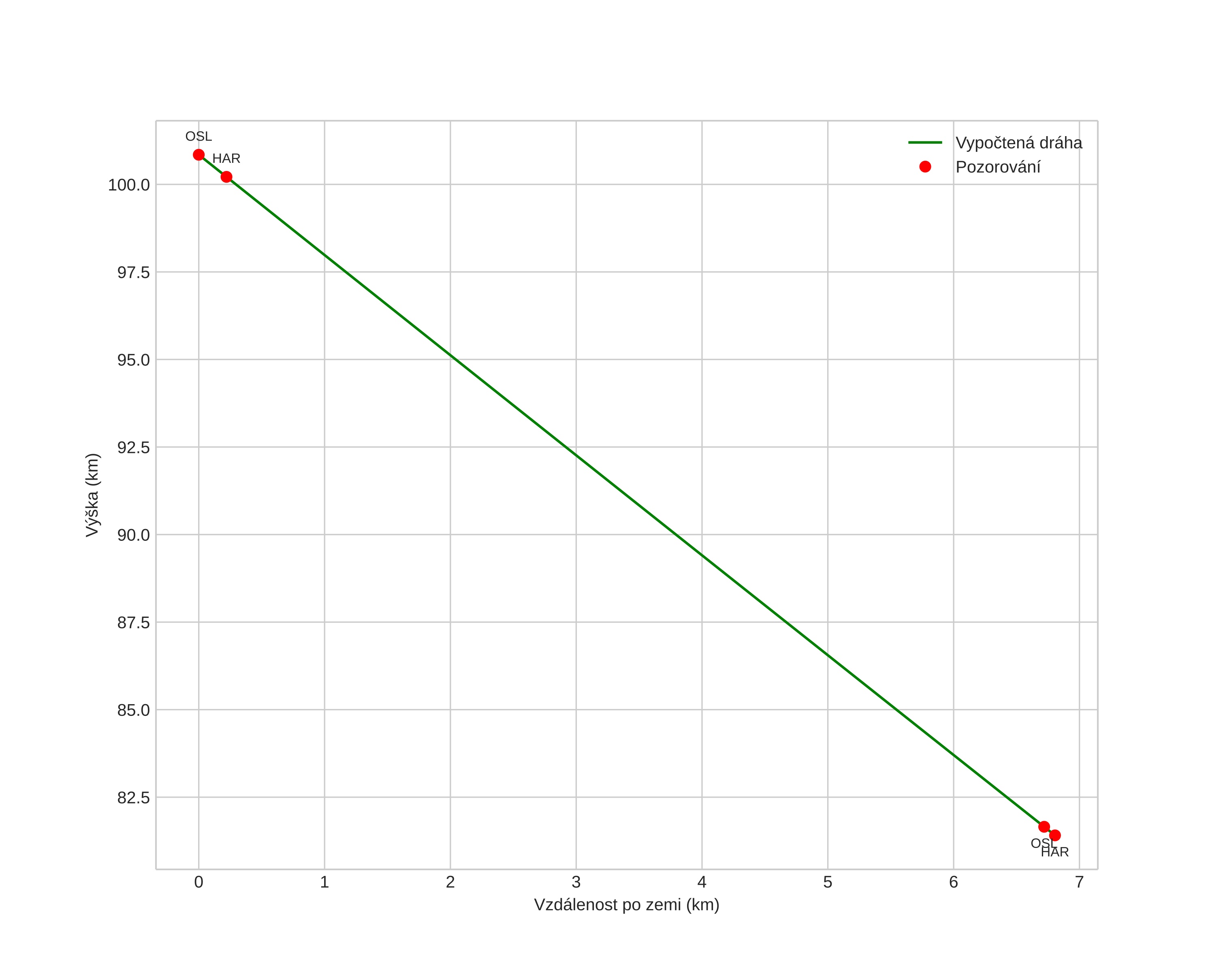
height profile
Atmosférická dráha meteoru:
Počáteční výška: 100,8 km
Konečná výška: 81,4 km
Počáteční poloha: 60,493N 11,383E
Konečná poloha: 60,494N 11,507E
Směr: 89,2°
Sklon: 70,7°
VstupnĂ­ rychlost: 17,8 km/s
Rektascenze radiantu: 01:29 (22,3°)
Deklinace radiantu: 53,1°
MeteorickĂ˝ roj: sporadickĂ˝
Elementy dráhy meteoroidu:
Vzdálenost v periheliu: 0,891 AU
Excentricita: 0,595
Sklon dráhy: 14,5°
Délka vzestupného uzlu: 249,2°
Argument perihelia: 222,0°
Střední anomálie: 350,8°
Epocha: 2015 DEC 01 22:41:13
orbit plot

NeinteraktivnĂ­ graf | InteraktivnĂ­ graf

position vs time
speed and acceleration