🇳🇴 🇬🇧 🇩🇪 🇨🇿 🇫🇮

Meteor Sandin yllä 2015-12-01 22:41:13 UTC

KML-tiedosto  |  Interaktiivinen kartta

Kartta näyttää meteorin suuntahavainnot. Vaaleammat viivat näyttävät suunnat havaintoasemilta meteorin ilmestyessä, ja tummemmat viivat näyttävät, missä se viimeksi nähtiin. Sininen nuoli näyttää meteorin näkyvän lennon.

static map
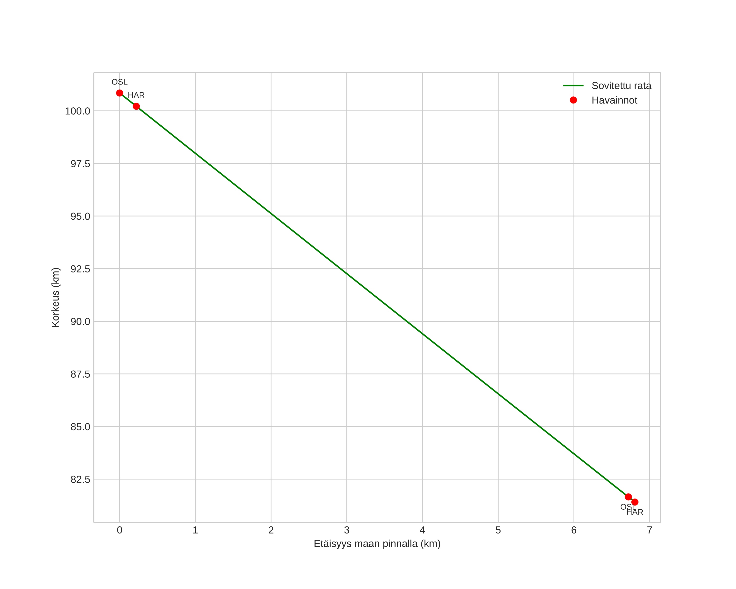
height profile
Meteorin ilmakehärata:
Alkukorkeus: 100,8 km
Loppukorkeus: 81,4 km
Alkupiste: 60,493N 11,383E
Loppupiste: 60,494N 11,507E
Suunta: 89,2°
Kallistuskulma: 70,7°
Tulonopeus: 17,8 km/s
Radiantin R,A,: 01:29 (22,3°)
Radiantin Dekl,: 53,1°
Meteoriparvi: Sporadinen
Meteoroidin rataelementit:
Perihelietäisyys: 0,891 AU
Eksentrisyys: 0,595
Inklinaatio: 14,5°
Nousevan solmun pituus: 249,2°
Perihelin argumentti: 222,0°
Keskianomalia: 350,8°
Epookki: 2015 DEC 01 22:41:13
orbit plot

Ei-interaktiivinen kuvaaja | Interaktiivinen kuvaaja

position vs time
speed and acceleration