🇳🇴 🇬🇧 🇩🇪 🇨🇿 🇫🇮

Meteor, poloha: Dokka 2015-12-07 00:00:38 UTC

Soubor KML  |  InteraktivnĂ­ mapa

Mapa zobrazuje dráhy meteoru. Světlejší čáry ukazují směry od pozorovacích stanic při objevení se meteoru a tmavší čáry, kde byl naposledy viděn. Modrá šipka značí viditelnou dráhu meteoru.

static map
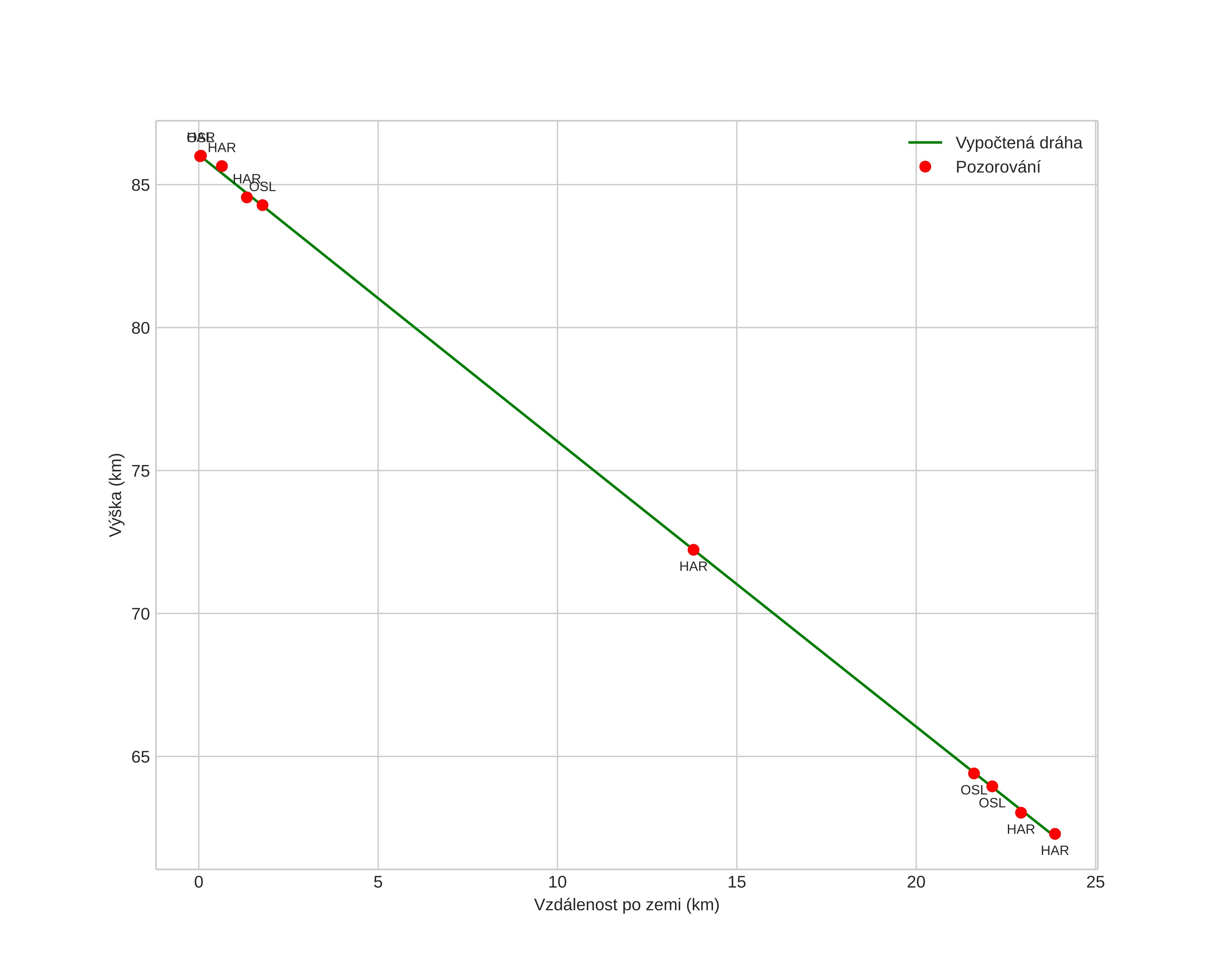
height profile
Atmosférická dráha meteoru:
Počáteční výška: 86,0 km
Konečná výška: 62,2 km
Počáteční poloha: 60,269N 9,881E
Konečná poloha: 60,471N 10,023E
Směr: 19,1°
Sklon: 45,0°
VstupnĂ­ rychlost: 21,4 km/s
Rektascenze radiantu: 04:39 (70,0°)
Deklinace radiantu: 12,6°
MeteorickĂ˝ roj: sporadickĂ˝
Elementy dráhy meteoroidu:
Vzdálenost v periheliu: 0,664 AU
Excentricita: 0,654
Sklon dráhy: 5,5°
Délka vzestupného uzlu: 74,3°
Argument perihelia: 79,9°
Střední anomálie: 343,1°
Epocha: 2015 DEC 07 00:00:38
orbit plot

NeinteraktivnĂ­ graf | InteraktivnĂ­ graf

position vs time
speed and acceleration