🇳🇴 🇬🇧 🇩🇪 🇨🇿 🇫🇮

Meteor Dokkan yllä 2015-12-07 00:00:38 UTC

KML-tiedosto  |  Interaktiivinen kartta

Kartta näyttää meteorin suuntahavainnot. Vaaleammat viivat näyttävät suunnat havaintoasemilta meteorin ilmestyessä, ja tummemmat viivat näyttävät, missä se viimeksi nähtiin. Sininen nuoli näyttää meteorin näkyvän lennon.

static map
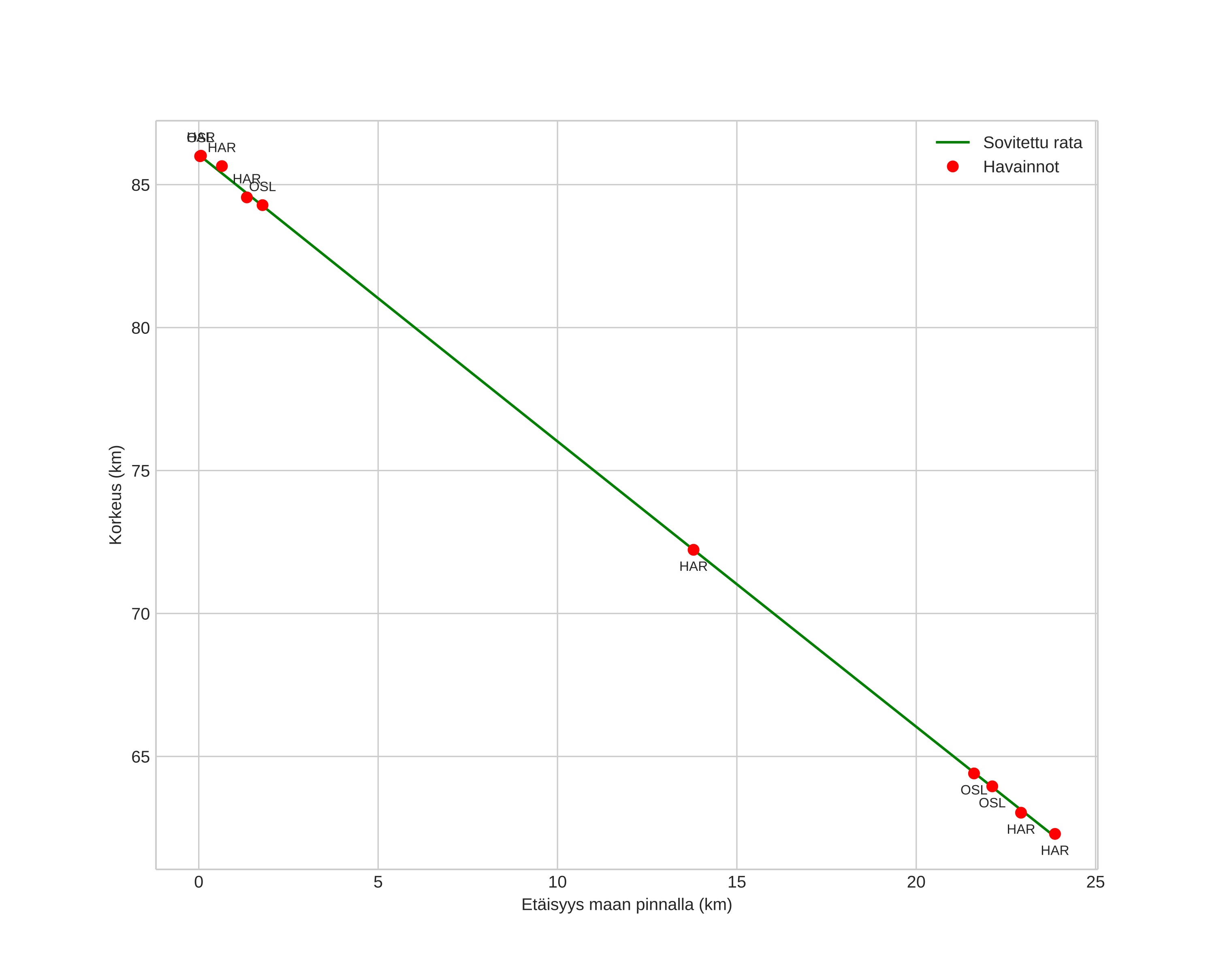
height profile
Meteorin ilmakehärata:
Alkukorkeus: 86,0 km
Loppukorkeus: 62,2 km
Alkupiste: 60,269N 9,881E
Loppupiste: 60,471N 10,023E
Suunta: 19,1°
Kallistuskulma: 45,0°
Tulonopeus: 21,4 km/s
Radiantin R,A,: 04:39 (70,0°)
Radiantin Dekl,: 12,6°
Meteoriparvi: Sporadinen
Meteoroidin rataelementit:
Perihelietäisyys: 0,664 AU
Eksentrisyys: 0,654
Inklinaatio: 5,5°
Nousevan solmun pituus: 74,3°
Perihelin argumentti: 79,9°
Keskianomalia: 343,1°
Epookki: 2015 DEC 07 00:00:38
orbit plot

Ei-interaktiivinen kuvaaja | Interaktiivinen kuvaaja

position vs time
speed and acceleration