🇳🇴 🇬🇧 🇩🇪 🇨🇿 🇫🇮

Meteor, poloha: Naustdal 2015-12-13 19:22:00 UTC

Soubor KML  |  InteraktivnĂ­ mapa

Mapa zobrazuje dráhy meteoru. Světlejší čáry ukazují směry od pozorovacích stanic při objevení se meteoru a tmavší čáry, kde byl naposledy viděn. Modrá šipka značí viditelnou dráhu meteoru.

static map
height profile
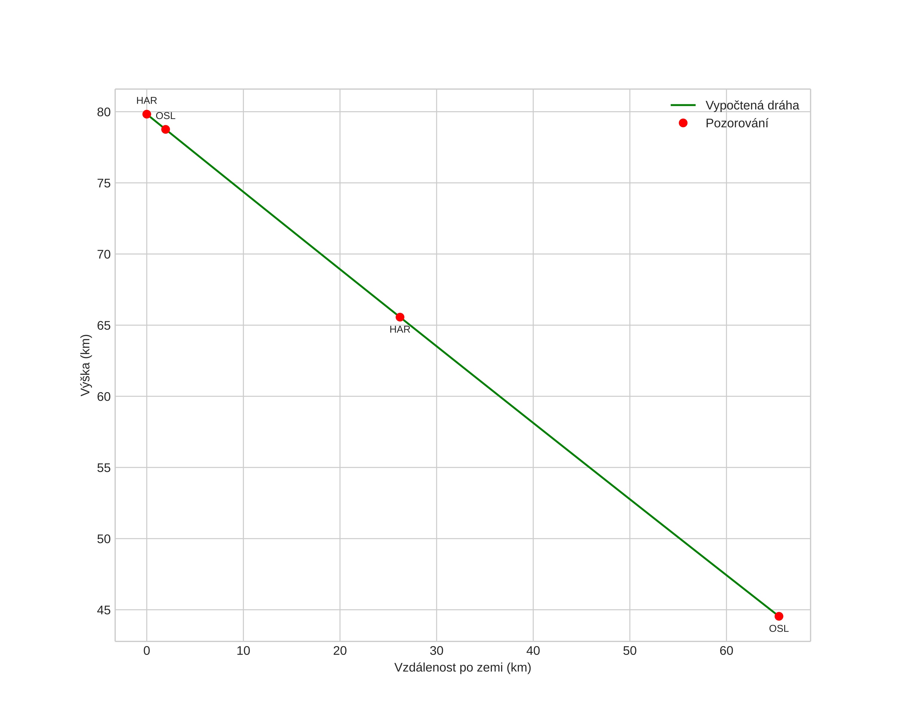
Atmosférická dráha meteoru:
Počáteční výška: 79,8 km
Konečná výška: 44,5 km
Počáteční poloha: 61,407N 6,830E
Konečná poloha: 61,429N 5,601E
Směr: 272,6°
Sklon: 28,3°
VstupnĂ­ rychlost: 32,0 km/s
Rektascenze radiantu: 06:14 (93,6°)
Deklinace radiantu: 21,6°
MeteorickĂ˝ roj: sporadickĂ˝
Elementy dráhy meteoroidu:
Vzdálenost v periheliu: 0,339 AU
Excentricita: 0,860
Sklon dráhy: 2,2°
Délka vzestupného uzlu: 81,3°
Argument perihelia: 114,6°
Střední anomálie: 349,3°
Epocha: 2015 DEC 13 19:22:00
orbit plot

NeinteraktivnĂ­ graf | InteraktivnĂ­ graf

position vs time
speed and acceleration