🇳🇴 🇬🇧 🇩🇪 🇨🇿 🇫🇮

Meteor Naustdalin yllä 2015-12-13 19:22:00 UTC

KML-tiedosto  |  Interaktiivinen kartta

Kartta näyttää meteorin suuntahavainnot. Vaaleammat viivat näyttävät suunnat havaintoasemilta meteorin ilmestyessä, ja tummemmat viivat näyttävät, missä se viimeksi nähtiin. Sininen nuoli näyttää meteorin näkyvän lennon.

static map
height profile
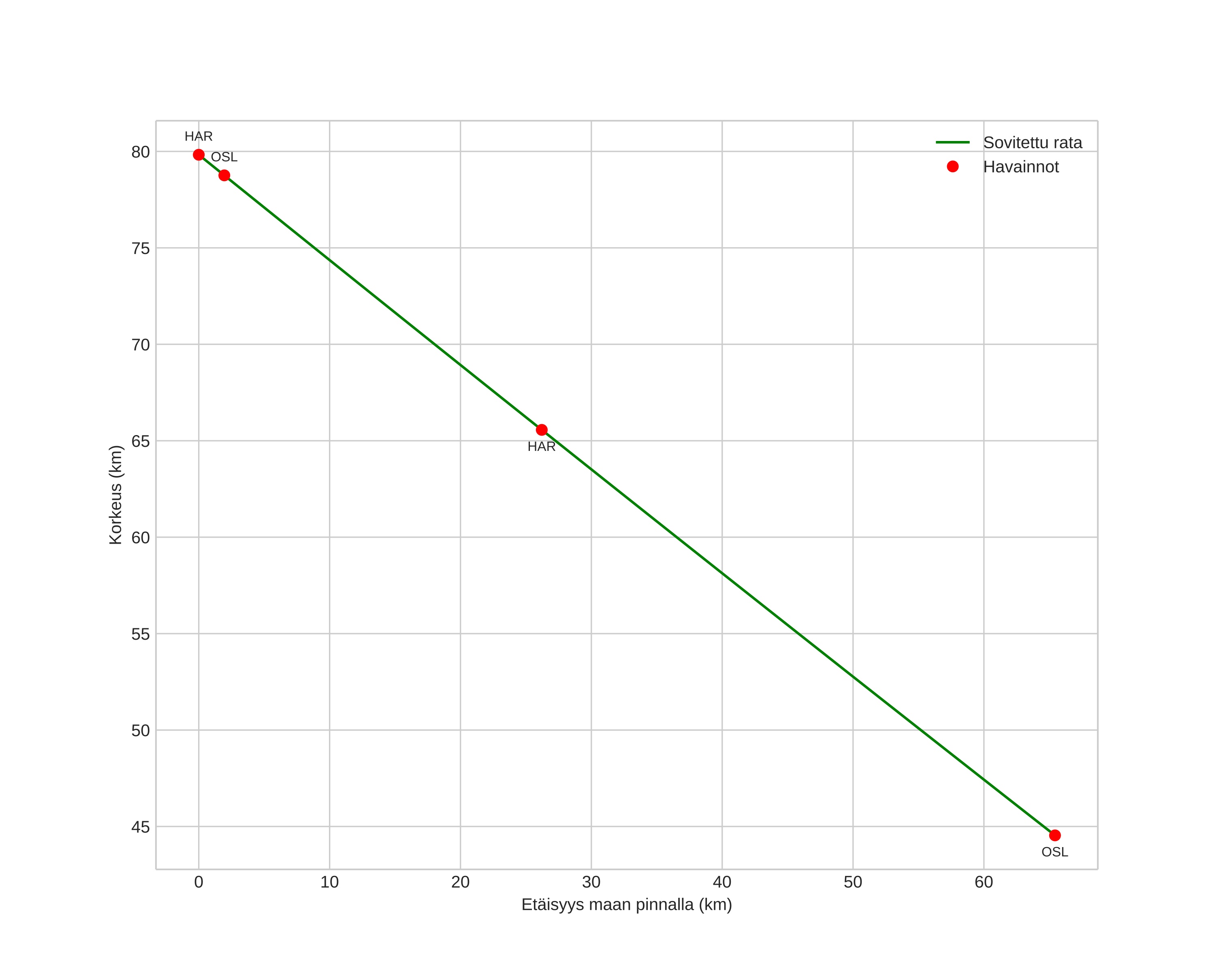
Meteorin ilmakehärata:
Alkukorkeus: 79,8 km
Loppukorkeus: 44,5 km
Alkupiste: 61,407N 6,830E
Loppupiste: 61,429N 5,601E
Suunta: 272,6°
Kallistuskulma: 28,3°
Tulonopeus: 32,0 km/s
Radiantin R,A,: 06:14 (93,6°)
Radiantin Dekl,: 21,6°
Meteoriparvi: Sporadinen
Meteoroidin rataelementit:
Perihelietäisyys: 0,339 AU
Eksentrisyys: 0,860
Inklinaatio: 2,2°
Nousevan solmun pituus: 81,3°
Perihelin argumentti: 114,6°
Keskianomalia: 349,3°
Epookki: 2015 DEC 13 19:22:00
orbit plot

Ei-interaktiivinen kuvaaja | Interaktiivinen kuvaaja

position vs time
speed and acceleration