🇳🇴 🇬🇧 🇩🇪 🇨🇿 🇫🇮

Meteor, poloha: Maura 2015-12-13 19:37:40 UTC

Soubor KML  |  InteraktivnĂ­ mapa

Mapa zobrazuje dráhy meteoru. Světlejší čáry ukazují směry od pozorovacích stanic při objevení se meteoru a tmavší čáry, kde byl naposledy viděn. Modrá šipka značí viditelnou dráhu meteoru.

static map
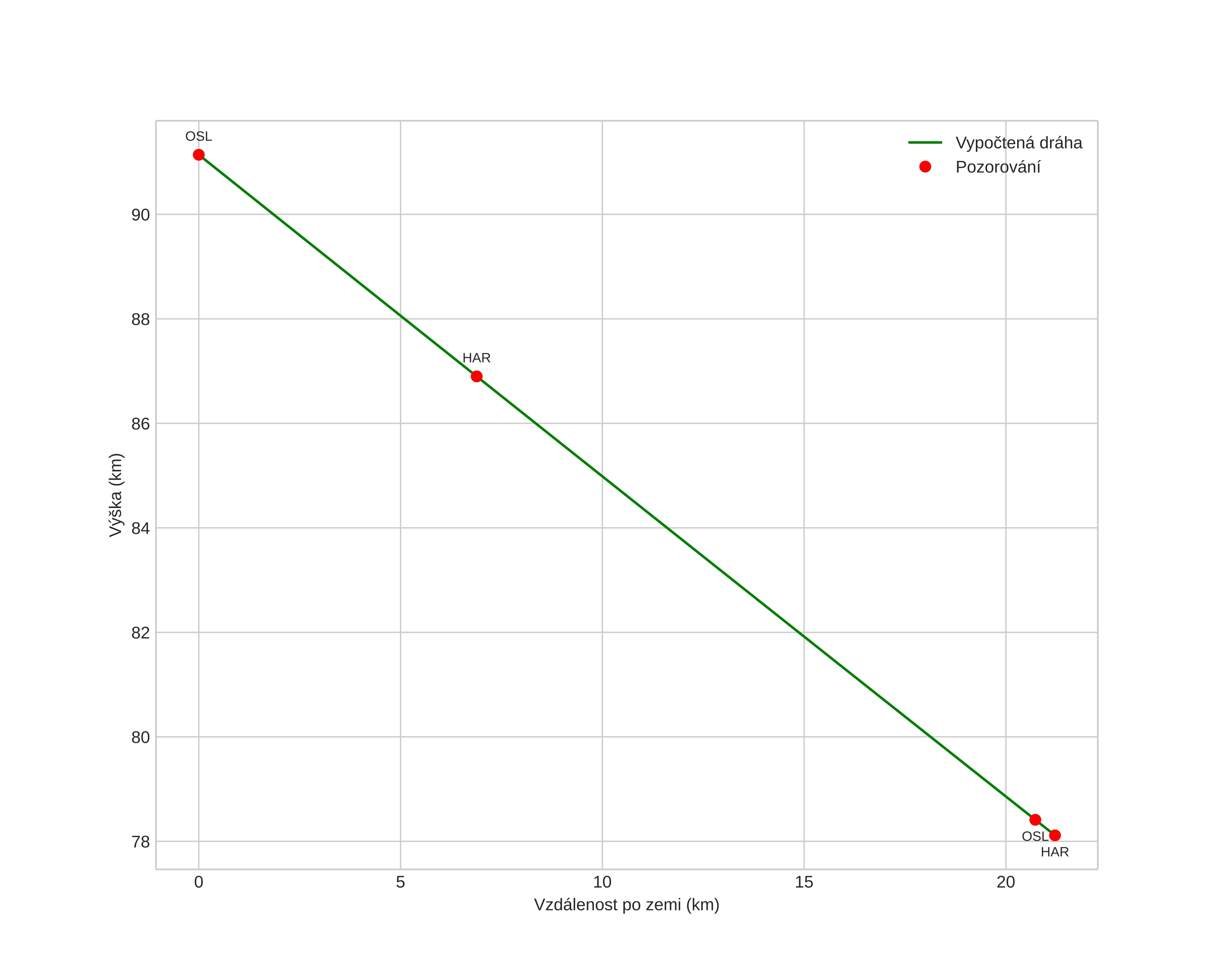
height profile
Atmosférická dráha meteoru:
Počáteční výška: 91,1 km
Konečná výška: 78,1 km
Počáteční poloha: 60,329N 11,346E
Konečná poloha: 60,285N 10,971E
Směr: 256,6°
Sklon: 31,5°
VstupnĂ­ rychlost: 42,8 km/s
Rektascenze radiantu: 07:29 (112,3°)
Deklinace radiantu: 32,7°
MeteorickĂ˝ roj: sporadickĂ˝
Elementy dráhy meteoroidu:
Vzdálenost v periheliu: 0,106 AU
Excentricita: 0,962
Sklon dráhy: 33,7°
Délka vzestupného uzlu: 261,2°
Argument perihelia: 325,0°
Střední anomálie: 353,0°
Epocha: 2015 DEC 13 19:37:40
orbit plot

NeinteraktivnĂ­ graf | InteraktivnĂ­ graf

position vs time
speed and acceleration