🇳🇴 🇬🇧 🇩🇪 🇨🇿 🇫🇮

Meteor Mauran yllä 2015-12-13 19:37:40 UTC

KML-tiedosto  |  Interaktiivinen kartta

Kartta näyttää meteorin suuntahavainnot. Vaaleammat viivat näyttävät suunnat havaintoasemilta meteorin ilmestyessä, ja tummemmat viivat näyttävät, missä se viimeksi nähtiin. Sininen nuoli näyttää meteorin näkyvän lennon.

static map
height profile
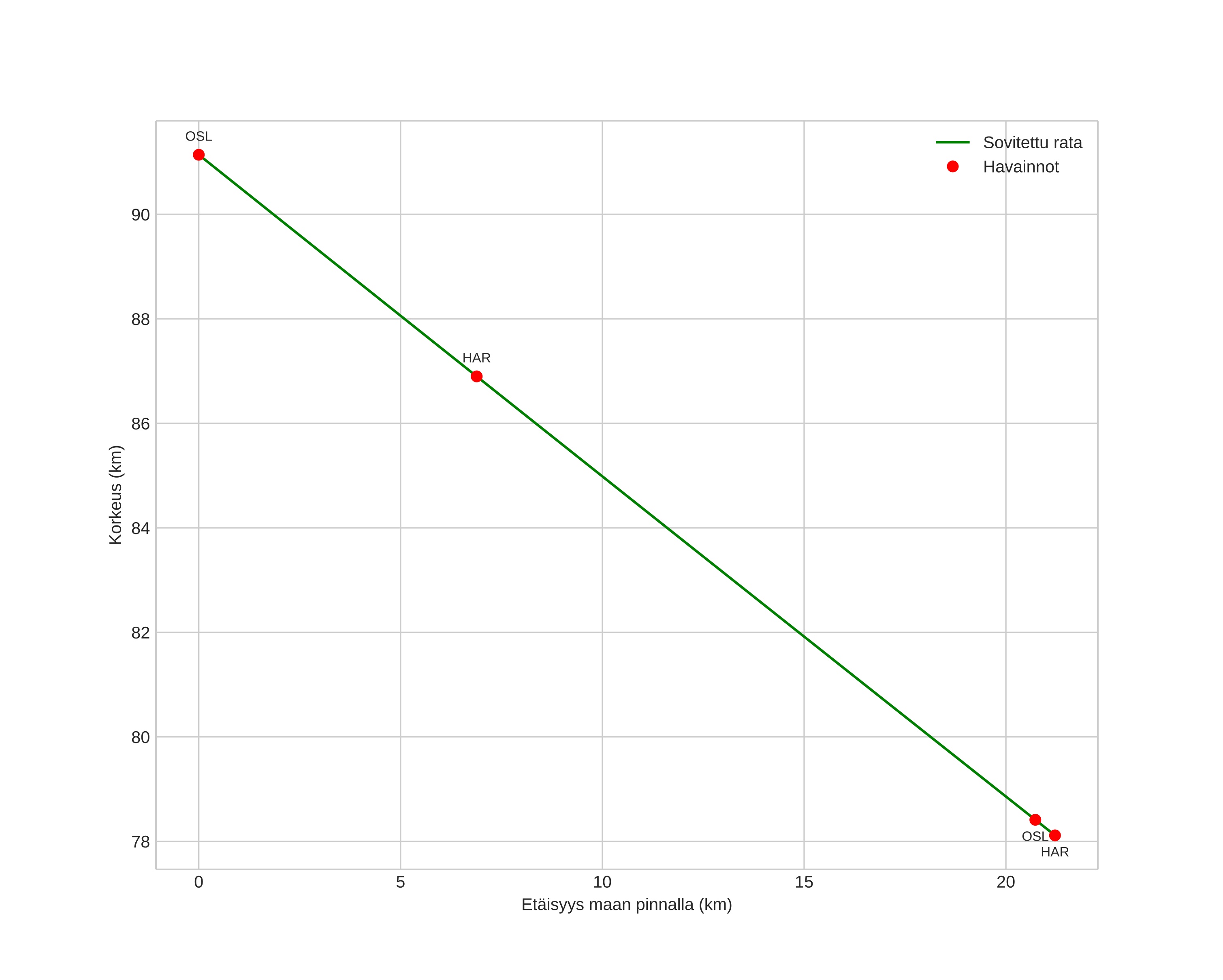
Meteorin ilmakehärata:
Alkukorkeus: 91,1 km
Loppukorkeus: 78,1 km
Alkupiste: 60,329N 11,346E
Loppupiste: 60,285N 10,971E
Suunta: 256,6°
Kallistuskulma: 31,5°
Tulonopeus: 42,8 km/s
Radiantin R,A,: 07:29 (112,3°)
Radiantin Dekl,: 32,7°
Meteoriparvi: Sporadinen
Meteoroidin rataelementit:
Perihelietäisyys: 0,106 AU
Eksentrisyys: 0,962
Inklinaatio: 33,7°
Nousevan solmun pituus: 261,2°
Perihelin argumentti: 325,0°
Keskianomalia: 353,0°
Epookki: 2015 DEC 13 19:37:40
orbit plot

Ei-interaktiivinen kuvaaja | Interaktiivinen kuvaaja

position vs time
speed and acceleration