🇳🇴 🇬🇧 🇩🇪 🇨🇿 🇫🇮

Meteor, poloha: Ă…mli 2015-12-13 20:37:25 UTC

Soubor KML  |  InteraktivnĂ­ mapa

Mapa zobrazuje dráhy meteoru. Světlejší čáry ukazují směry od pozorovacích stanic při objevení se meteoru a tmavší čáry, kde byl naposledy viděn. Modrá šipka značí viditelnou dráhu meteoru.

static map
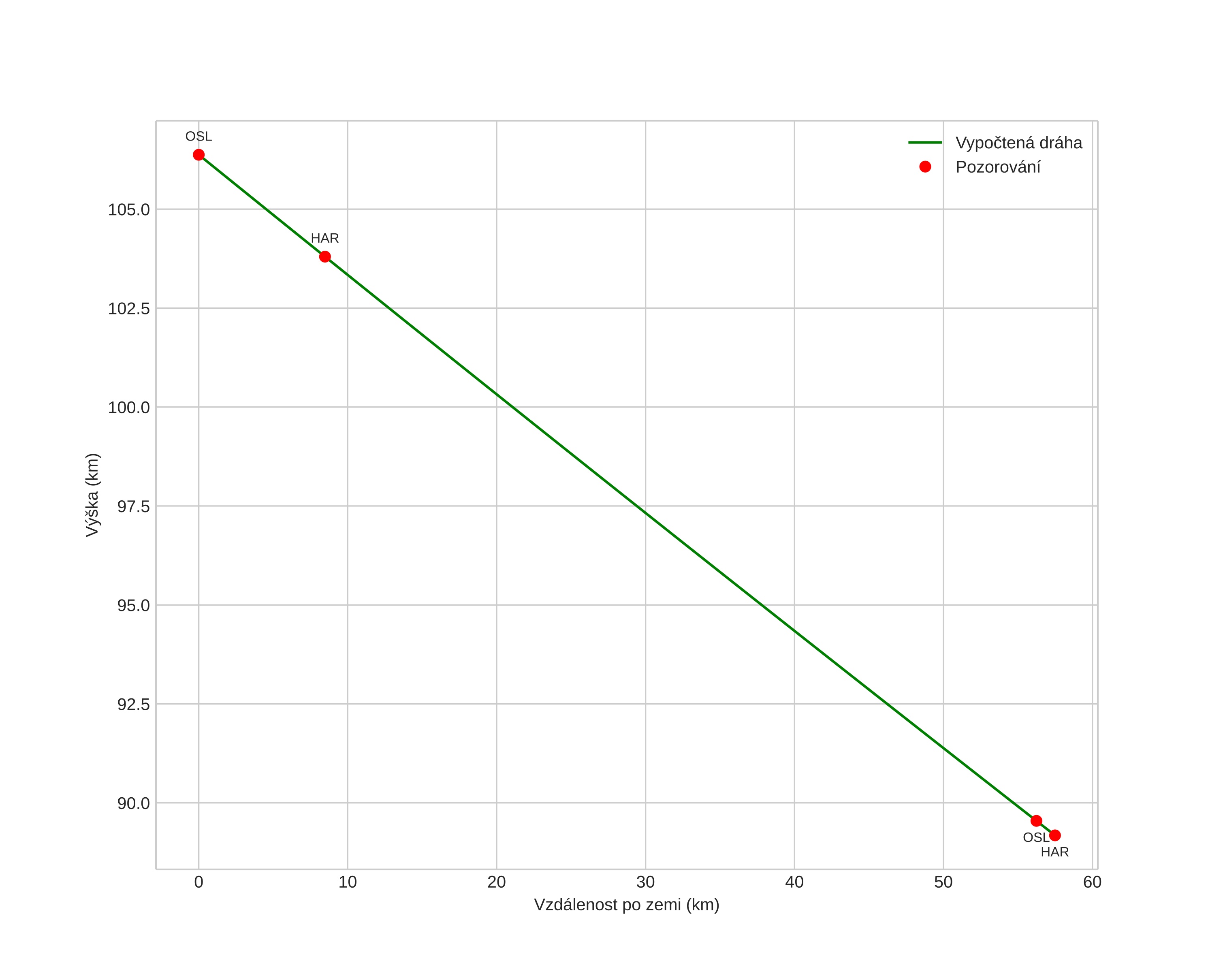
height profile
Atmosférická dráha meteoru:
Počáteční výška: 106,4 km
Konečná výška: 89,2 km
Počáteční poloha: 59,100N 9,283E
Konečná poloha: 58,782N 8,493E
Směr: 232,4°
Sklon: 16,7°
VstupnĂ­ rychlost: 64,8 km/s
Rektascenze radiantu: 10:24 (156,0°)
Deklinace radiantu: 32,7°
MeteorickĂ˝ roj: desember-leonis-minoridene
Elementy dráhy meteoroidu:
Vzdálenost v periheliu: 0,593 AU
Excentricita: 0,960
Sklon dráhy: 135,3°
Délka vzestupného uzlu: 261,3°
Argument perihelia: 259,1°
Střední anomálie: 359,3°
Epocha: 2015 DEC 13 20:37:25
orbit plot

NeinteraktivnĂ­ graf | InteraktivnĂ­ graf

position vs time
speed and acceleration