🇳🇴 🇬🇧 🇩🇪 🇨🇿 🇫🇮

Meteor Åmlin yllä 2015-12-13 20:37:25 UTC

KML-tiedosto  |  Interaktiivinen kartta

Kartta näyttää meteorin suuntahavainnot. Vaaleammat viivat näyttävät suunnat havaintoasemilta meteorin ilmestyessä, ja tummemmat viivat näyttävät, missä se viimeksi nähtiin. Sininen nuoli näyttää meteorin näkyvän lennon.

static map
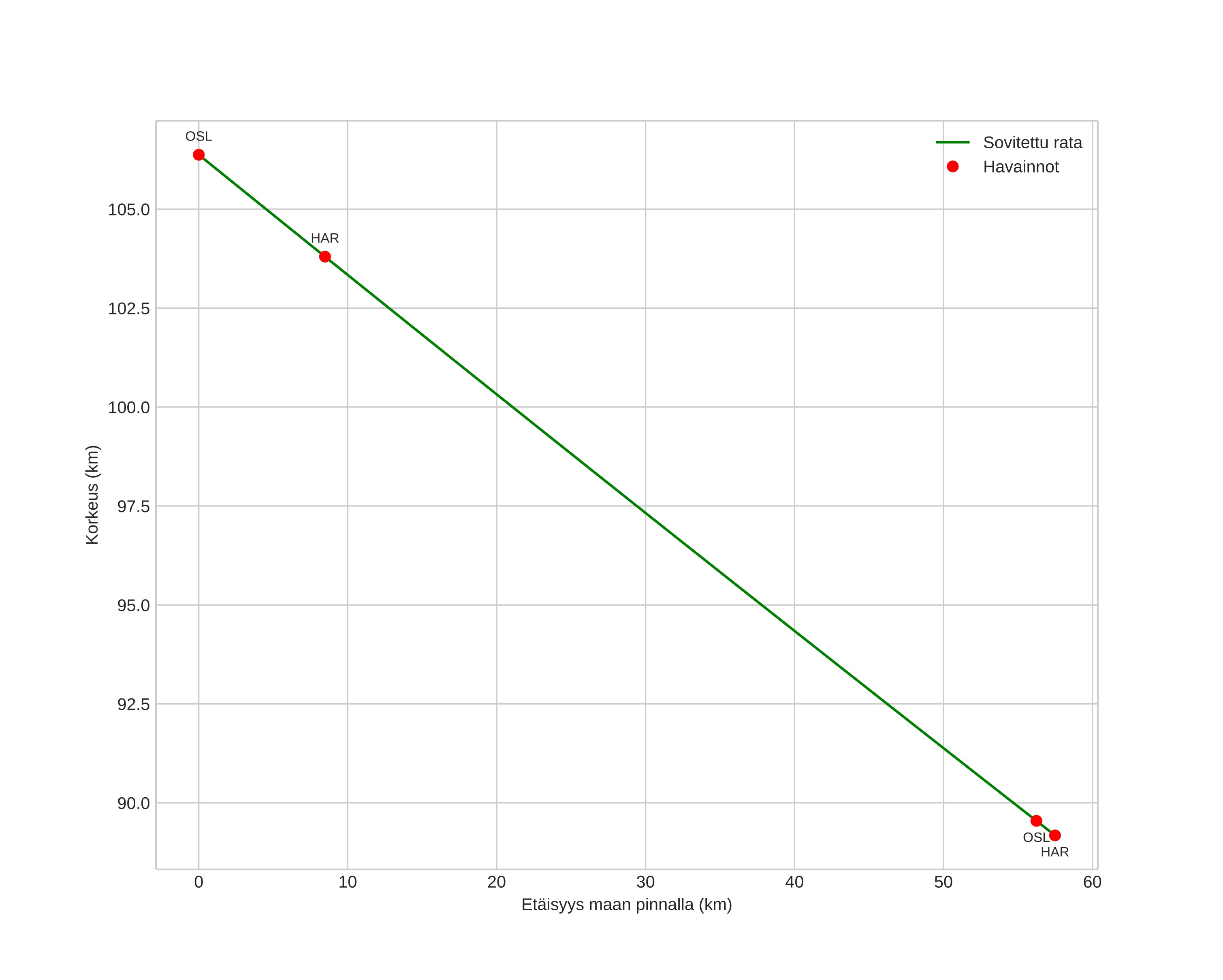
height profile
Meteorin ilmakehärata:
Alkukorkeus: 106,4 km
Loppukorkeus: 89,2 km
Alkupiste: 59,100N 9,283E
Loppupiste: 58,782N 8,493E
Suunta: 232,4°
Kallistuskulma: 16,7°
Tulonopeus: 64,8 km/s
Radiantin R,A,: 10:24 (156,0°)
Radiantin Dekl,: 32,7°
Meteoriparvi: desember-leonis-minoridene
Meteoroidin rataelementit:
Perihelietäisyys: 0,593 AU
Eksentrisyys: 0,960
Inklinaatio: 135,3°
Nousevan solmun pituus: 261,3°
Perihelin argumentti: 259,1°
Keskianomalia: 359,3°
Epookki: 2015 DEC 13 20:37:25
orbit plot

Ei-interaktiivinen kuvaaja | Interaktiivinen kuvaaja

position vs time
speed and acceleration