🇳🇴 🇬🇧 🇩🇪 🇨🇿 🇫🇮

Meteor, poloha: Veddige 2015-12-13 23:02:49 UTC

Soubor KML  |  InteraktivnĂ­ mapa

Mapa zobrazuje dráhy meteoru. Světlejší čáry ukazují směry od pozorovacích stanic při objevení se meteoru a tmavší čáry, kde byl naposledy viděn. Modrá šipka značí viditelnou dráhu meteoru.

static map
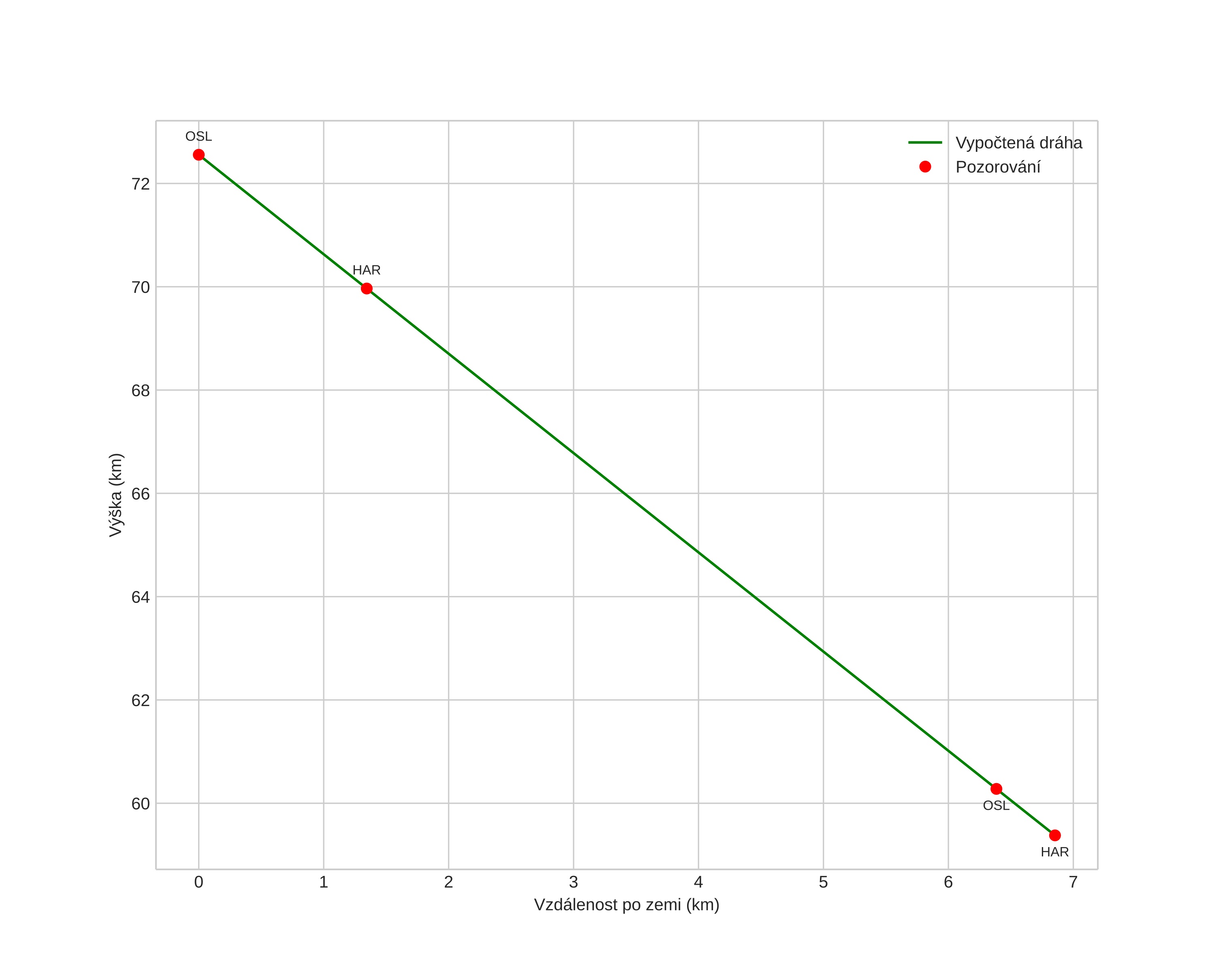
height profile
Atmosférická dráha meteoru:
Počáteční výška: 72,6 km
Konečná výška: 59,4 km
Počáteční poloha: 57,209N 12,166E
Konečná poloha: 57,233N 12,271E
Směr: 67,0°
Sklon: 62,6°
VstupnĂ­ rychlost: 14,6 km/s
Rektascenze radiantu: 02:40 (40,2°)
Deklinace radiantu: 35,3°
MeteorickĂ˝ roj: sporadickĂ˝
Elementy dráhy meteoroidu:
Vzdálenost v periheliu: 0,912 AU
Excentricita: 0,494
Sklon dráhy: 5,0°
Délka vzestupného uzlu: 261,4°
Argument perihelia: 218,9°
Střední anomálie: 348,0°
Epocha: 2015 DEC 13 23:02:49
orbit plot

NeinteraktivnĂ­ graf | InteraktivnĂ­ graf

position vs time
speed and acceleration