🇳🇴 🇬🇧 🇩🇪 🇨🇿 🇫🇮

Meteor Veddigen yllä 2015-12-13 23:02:49 UTC

KML-tiedosto  |  Interaktiivinen kartta

Kartta näyttää meteorin suuntahavainnot. Vaaleammat viivat näyttävät suunnat havaintoasemilta meteorin ilmestyessä, ja tummemmat viivat näyttävät, missä se viimeksi nähtiin. Sininen nuoli näyttää meteorin näkyvän lennon.

static map
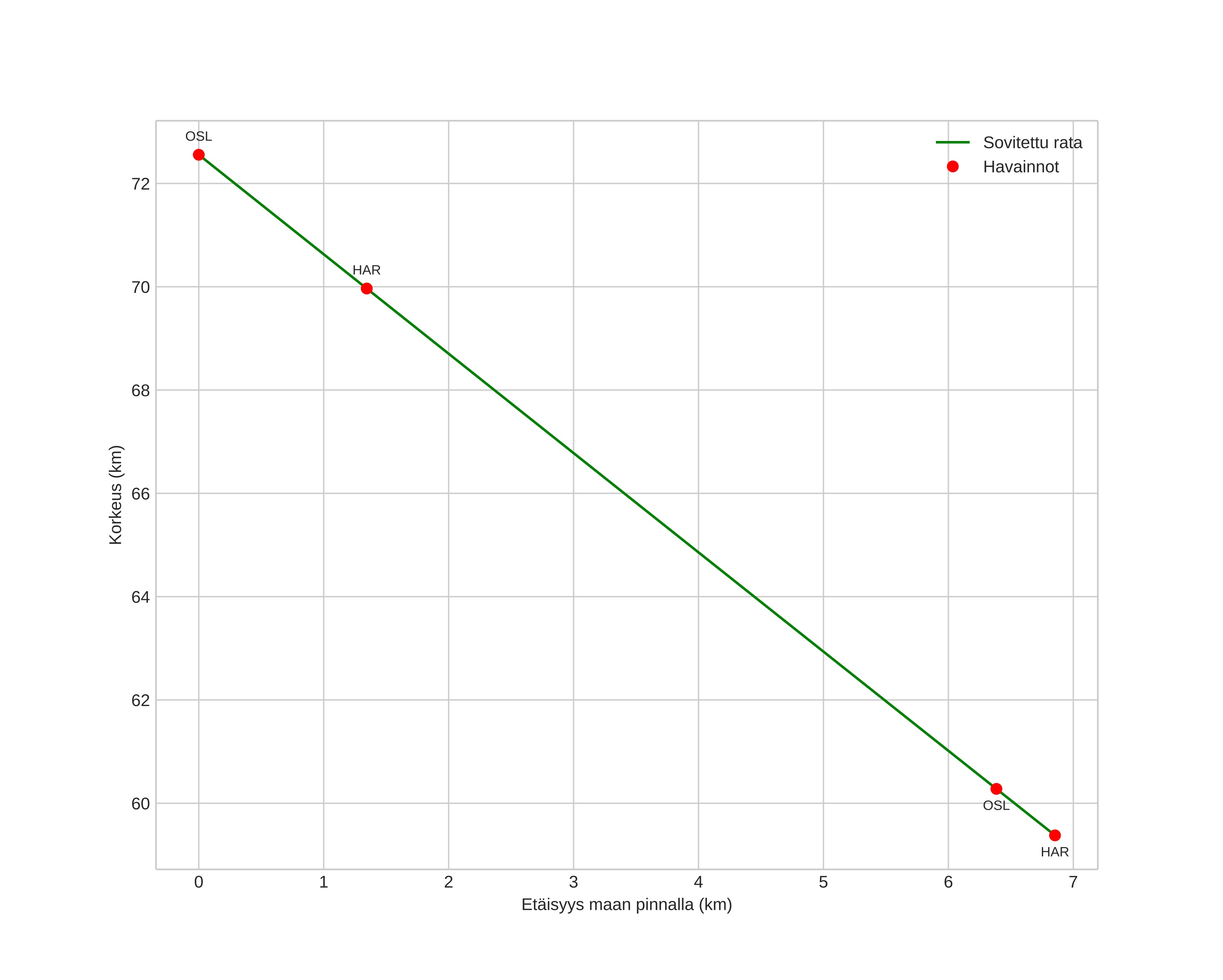
height profile
Meteorin ilmakehärata:
Alkukorkeus: 72,6 km
Loppukorkeus: 59,4 km
Alkupiste: 57,209N 12,166E
Loppupiste: 57,233N 12,271E
Suunta: 67,0°
Kallistuskulma: 62,6°
Tulonopeus: 14,6 km/s
Radiantin R,A,: 02:40 (40,2°)
Radiantin Dekl,: 35,3°
Meteoriparvi: Sporadinen
Meteoroidin rataelementit:
Perihelietäisyys: 0,912 AU
Eksentrisyys: 0,494
Inklinaatio: 5,0°
Nousevan solmun pituus: 261,4°
Perihelin argumentti: 218,9°
Keskianomalia: 348,0°
Epookki: 2015 DEC 13 23:02:49
orbit plot

Ei-interaktiivinen kuvaaja | Interaktiivinen kuvaaja

position vs time
speed and acceleration