🇳🇴 🇬🇧 🇩🇪 🇨🇿 🇫🇮

Meteor, poloha: Bengtsfors 2015-12-14 02:23:57 UTC

Soubor KML  |  InteraktivnĂ­ mapa

Mapa zobrazuje dráhy meteoru. Světlejší čáry ukazují směry od pozorovacích stanic při objevení se meteoru a tmavší čáry, kde byl naposledy viděn. Modrá šipka značí viditelnou dráhu meteoru.

static map
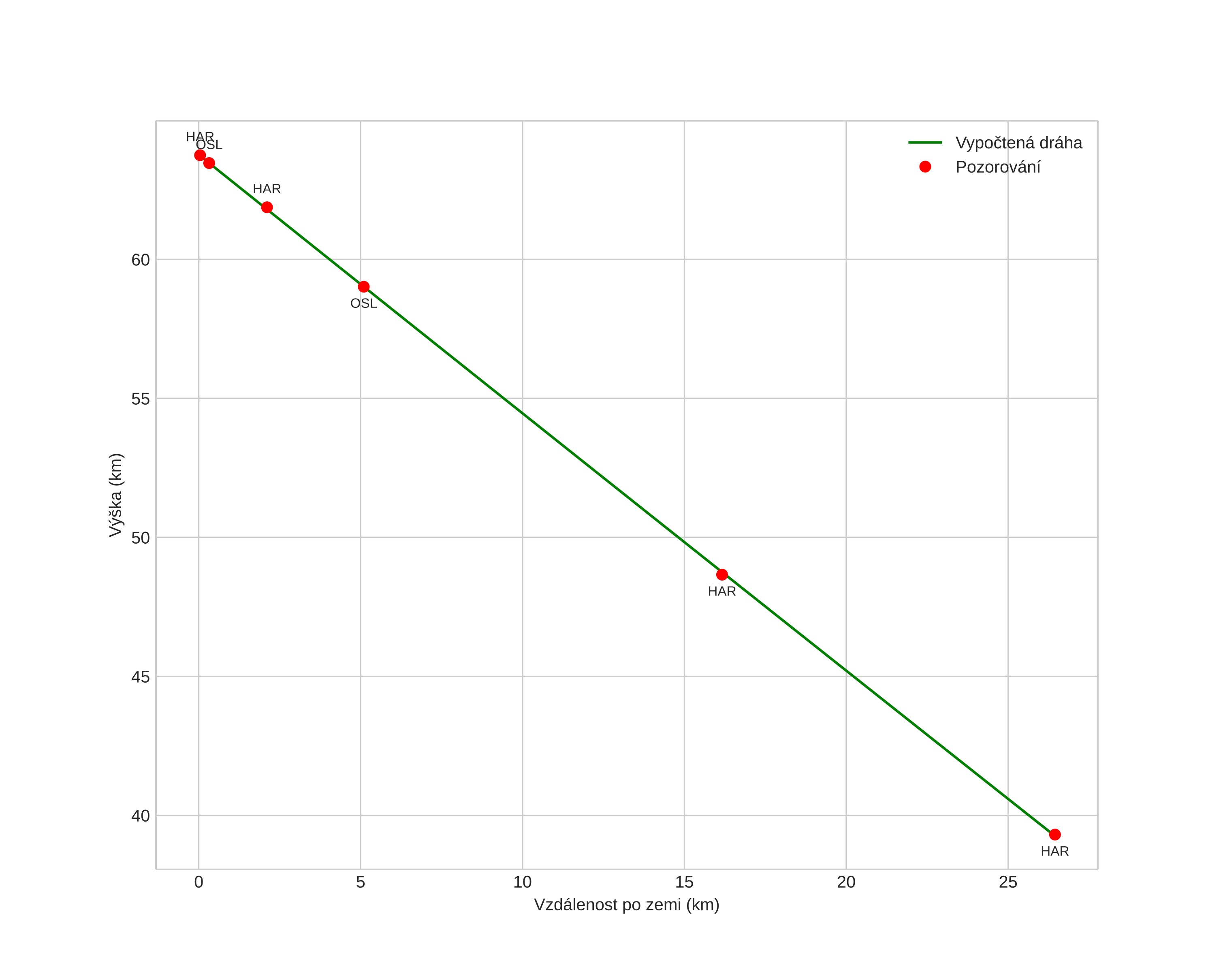
height profile
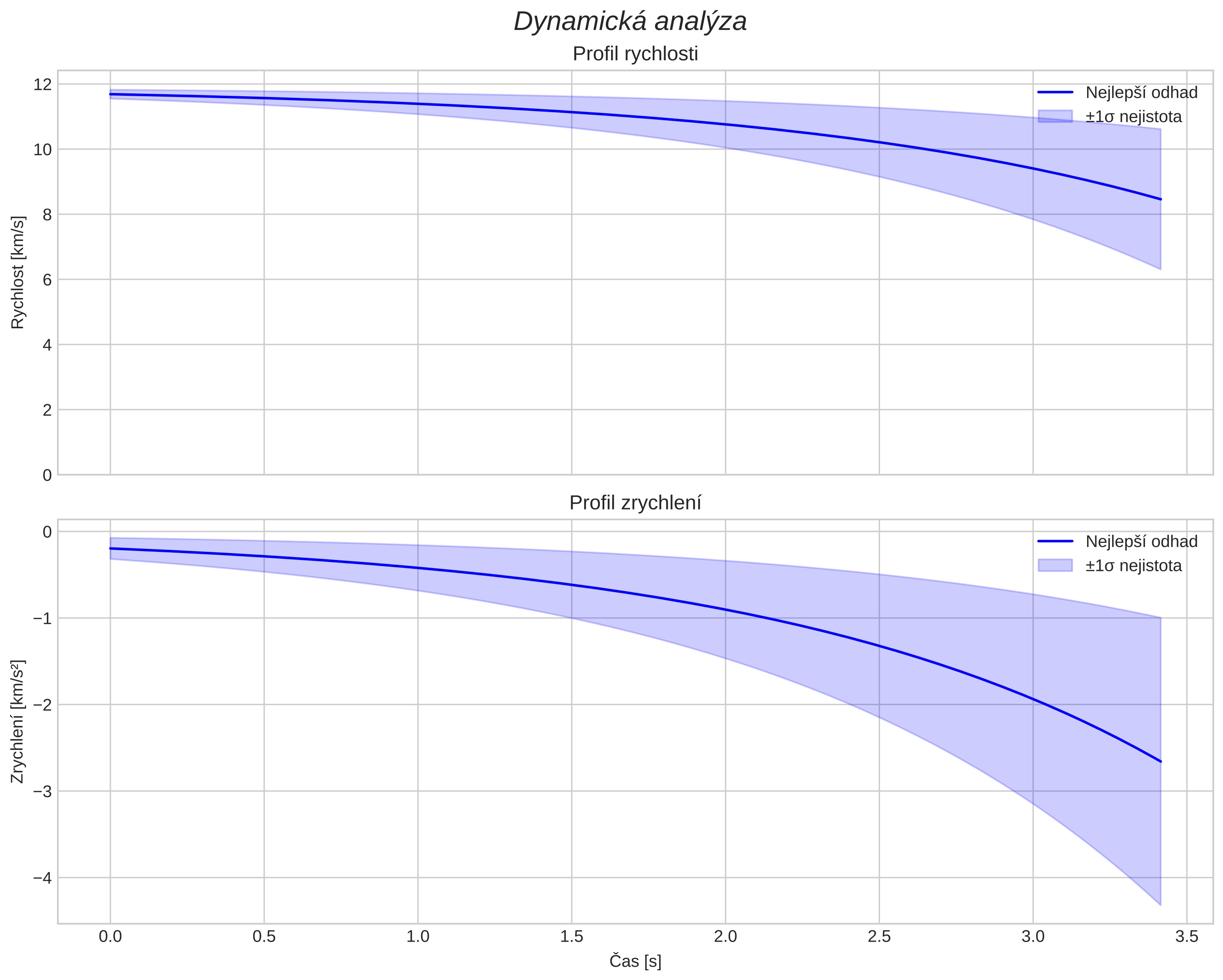
Atmosférická dráha meteoru:
Počáteční výška: 63,8 km
Konečná výška: 39,3 km
Počáteční poloha: 59,223N 11,803E
Konečná poloha: 59,114N 12,215E
Směr: 117,1°
Sklon: 42,8°
VstupnĂ­ rychlost: 11,7 km/s
Rektascenze radiantu: 01:45 (26,3°)
Deklinace radiantu: 28,4°
MeteorickĂ˝ roj: sporadickĂ˝
Elementy dráhy meteoroidu:
Vzdálenost v periheliu: 0,965 AU
Excentricita: 0,242
Sklon dráhy: 2,0°
Délka vzestupného uzlu: 261,5°
Argument perihelia: 205,8°
Střední anomálie: 344,6°
Epocha: 2015 DEC 14 02:23:57
orbit plot

NeinteraktivnĂ­ graf | InteraktivnĂ­ graf

position vs time
speed and acceleration