🇳🇴 🇬🇧 🇩🇪 🇨🇿 🇫🇮

Meteor Bengtsforsin yllä 2015-12-14 02:23:57 UTC

KML-tiedosto  |  Interaktiivinen kartta

Kartta näyttää meteorin suuntahavainnot. Vaaleammat viivat näyttävät suunnat havaintoasemilta meteorin ilmestyessä, ja tummemmat viivat näyttävät, missä se viimeksi nähtiin. Sininen nuoli näyttää meteorin näkyvän lennon.

static map
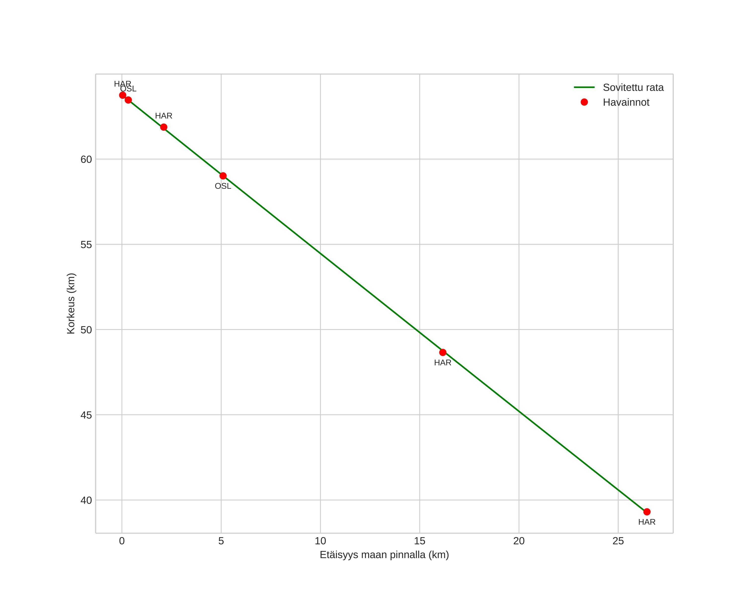
height profile
Meteorin ilmakehärata:
Alkukorkeus: 63,8 km
Loppukorkeus: 39,3 km
Alkupiste: 59,223N 11,803E
Loppupiste: 59,114N 12,215E
Suunta: 117,1°
Kallistuskulma: 42,8°
Tulonopeus: 11,7 km/s
Radiantin R,A,: 01:45 (26,3°)
Radiantin Dekl,: 28,4°
Meteoriparvi: Sporadinen
Meteoroidin rataelementit:
Perihelietäisyys: 0,965 AU
Eksentrisyys: 0,242
Inklinaatio: 2,0°
Nousevan solmun pituus: 261,5°
Perihelin argumentti: 205,8°
Keskianomalia: 344,6°
Epookki: 2015 DEC 14 02:23:57
orbit plot

Ei-interaktiivinen kuvaaja | Interaktiivinen kuvaaja

position vs time
speed and acceleration